Login
Section Microbiology

Structural Analysis of Carbapenems and β-Lactamase Resistance

Vol. 10 No. 2 (2025): December:

Hayder Kadhim Sunaid (1)

(1) Directorate General of Education in Dhi Qar, Dhi Qar, Iraq

Abstract:

General Background: Carbapenem antibiotics represent a critical class of β-lactam agents widely used to manage severe infections caused by multidrug-resistant bacteria. Specific Background: Their unique structure—particularly the carbon substitution at C-1 and the C2–C3 double bond—confers exceptional stability against β-lactamase-mediated hydrolysis. Knowledge Gap: However, the molecular determinants that govern their interaction with penicillin-binding proteins and resistance to β-lactamases remain insufficiently explained. Aims: This study analyzes the structural characteristics of carbapenems and explains how these features relate to bacterial β-lactamase resistance. Results: Findings show that core structural modifications strengthen carbapenem binding to PBPs, disrupt peptidoglycan cross-linking, and maintain activity against extended-spectrum and metallo-β-lactamase-producing bacteria. Novelty: The work synthesizes current structural–activity insights to clarify how specific molecular configurations preserve carbapenem potency. Implications: These insights support rational drug design for next-generation carbapenems capable of combating emerging resistance threats within clinical settings.


Highlights:




  • Structural features of carbapenems determine stability against β-lactamases.




  • Binding to PBPs remains central to their bactericidal activity.




  • Findings support future development of improved carbapenem derivatives.




Keywords: Carbapenem, β-Lactamase, Molecular Structure, Antibiotic Resistance, PBPs

Downloads

Download data is not yet available.

Introduction

Antibiotics have been one of the greatest achievements in modern chemistry and medicine, providing powerful tools to combat bacterial infections that once caused widespread mortality. Among these antibiotics, carbapenems represent a vital subclass of the β-lactam antibiotics, characterized by a unique β-lactam ring fused with a five-membered carbapenem ring that provides exceptional resistance to many β-lactamases, the enzymes responsible for antibiotic degradation [1].

The molecular structure of carbapenems plays a critical role in their antimicrobial activity and their ability to withstand hydrolysis by β-lactamase enzymes. Unlike penicillins and cephalosporins, carbapenems contain a carbon atom instead of sulfur at the C-1 position of the ring, as well as a double bond between C-2 and C-3, enhancing their chemical stability and binding affinity toward bacterial penicillin-binding proteins (PBPs) [2]. These structural modifications allow carbapenems such as imipenem and meropenem to maintain broad-spectrum activity against both Gram-positive and Gram-negative bacteria, including multidrug-resistant strains [3].

However, the increasing emergence of β-lactamase-producing bacteria, especially those capable of producing carbapenemases, threatens the clinical effectiveness of these antibiotics. Therefore, understanding the structure–activity relationship (SAR) of carbapenems is essential for the design of new derivatives with enhanced resistance to β-lactamases and improved antibacterial potency.

This study aims to analyze the molecular structure of carbapenem antibiotics and evaluate how their chemical configurations influence their resistance to bacterial β-lactamase enzymes, providing insights for the development of next-generation carbapenem antibiotics.

Antibiotics

are defined as specific or modified secondary metabolic products that exhibit activity against various groups of microorganisms. They are also described as organic chemical substances produced by different types of microorganisms, capable of inhibiting the growth of other microbes without harming body cells. These substances include products obtained through chemical modification of natural antibiotics, as well as other microbial metabolic products or microbially modified synthetic compounds [4].

Some antibiotics possess a narrow spectrum of activity, targeting a specific microorganism or a limited group of microbes — referred to as narrow-spectrum antibiotics. In contrast, those effective against a wide range of microorganisms, including both Gram-positive and Gram-negative bacteria, are known as broad-spectrum antibiotics.

Certain antibiotics are bactericidal, meaning they actively kill bacterial cells and prevent the formation of new generations once the agent is removed. Others are bacteriostatic, inhibiting bacterial growth without killing the organisms, thus keeping their number constant during exposure; once the antibiotic is removed, bacterial growth can resume.

Antibiotics vary in their molecular weights and contain reactive organic groups. Despite their diversity, all antibiotics share the characteristic of being solid organic compounds. They are used to treat various bacterial infections, as well as in animal and agricultural production sectors. Additionally, antibiotics are employed as preservatives in certain foods, especially canned products, and serve as inhibitors in some chemical reactions [5].

Sometimes, antibiotics are combined to produce a synergistic effect, enhancing their inhibitory potential for treating serious infections such as endocarditis caused by Enterococcus bacteria or mixed infections like abdominal abscesses involving both aerobic and anaerobic bacteria. For instance, Nitronidazole is combined with aminoglycosides or broad-spectrum cephalosporins. To reduce toxicity, Amphotericin B is used with 5–flucytosine when treating Cryptococcus neoformans infections, as this combination allows a lower dose of Amphotericin B [6].

Another benefit of antibiotic combinations is preventing resistance development during treatment. For example, in infections caused by Staphylococcus aureus, Fusidic acid is preferably combined with Flucloxacillin to prevent resistant strains. Similarly, Rifamycin is combined with Isoniazid when treating tuberculosis to reduce the risk of resistance associated with Rifamycin monotherapy.

However, combining antibiotics may also have drawbacks, including an increased likelihood of adverse side effects [7].

An effective antibiotic should have low or no toxicity, should not affect body proteins, should not elevate body temperature, and should not interfere with the process of phagocytosis. Moreover, it must possess good solubility in water and body fluids to ensure proper distribution and efficacy.

1. Sources of Antibiotics

The sources of antibiotics are diverse and vary depending on their nature and habitat. The main sources include the following: [8]

1.1 Microorganisms (Microbiology):

  • Bacteria such as the Bacillus genus produce antibiotics like Bacitracin, Polymyxin, and Colistin. Important species include B. subtilis, B. brevis, and B. polymyxa.
  • Pseudomonas acidophila and Gluconobacter species produce Monobactam antibiotics.
  • Actinomycetes, a group of filamentous bacteria, generate several antibiotics such as Kanamycin, Rifampicin, Vancomycin, Tetracycline, Erythromycin, Streptomycin, and Chloramphenicol.
  • Streptomyces bacteria are the source of many antibiotics, while Micromonospora purpurea produces Gentamicin.
  • Fungi such as Penicillium and Acremonium are the natural producers of Penicillin and related antibiotics [2].

1.2 Synthetic Antibiotics (Synthesis):

Some antibiotics are fully synthetic, meaning they are entirely produced through chemical synthesis. Examples include Chloramphenicol and Cephalosporins.

1.3 Semi-Synthetic Antibiotics:

Semi-synthetic antibiotics are partially produced by microorganisms through fermentation, after which their molecules are chemically modified. Many Penicillins and Cephalosporins are manufactured this way. Antibiotics are generally formed as secondary metabolic products when the producing organism reaches the idiophase (the stationary phase) at the end of the logarithmic growth phase.

2. Mechanism of Action of Antibiotics Against Bacteria

Selecting the appropriate antibiotic for a specific bacterial strain can be determined by methods such as Minimum Inhibitory Concentration (MIC) and Minimum Bactericidal Concentration (MBC).

Antibiotics are pharmaceutical agents used to treat infections caused by bacteria and other microorganisms. They combat pathogenic bacteria by inhibiting or stopping their growth. The unique feature of antibiotics is that they are produced by one living organism (such as bacteria or fungi) to inhibit the growth of another living organism (for example, bacteria or fungi).

When antimicrobial agents exhibit selective toxicity, they become valuable in treating infections. The therapeutic index—defined as the ratio between the highest tolerated dose and the minimum effective dose—indicates the safety of the antibiotic.

Antibiotics are derived from a limited number of microbial genera. Therefore, extensive research on numerous microbial strains is essential to discover new, effective antibiotics. The main groups of antibiotics consist of families of chemically related compounds with differing properties; some are derived from natural microbial products, while others are obtained through chemical modification of biosynthetic products [9].

The sites of action of antimicrobial drugs include:

  • The cell wall,
  • Protein synthesis mechanisms within the cell,
  • The cytoplasmic membrane, and
  • Nucleic acid synthesis.

Certain sulfa compounds and other low–molecular-weight chemicals act by interfering with folic acid synthesis, an essential compound for coenzymes involved in the formation of purines, pyrimidines, and some amino acids [10].

The effectiveness of antimicrobial drugs has noticeably declined due to the emergence and spread of drug-resistant microorganisms. However, research conducted on the mechanisms of drug action and microbial resistance has greatly contributed to the discovery of many new antimicrobial agents. Antibiotics and other antimicrobial compounds remain of immense value in controlling numerous serious diseases. Nonetheless, their continued effectiveness depends largely on their judicious use, in order to minimize the prevalence of resistant organisms [11].

The mechanism of action of certain antibiotics, particularly β-lactam antibiotics, involves the inhibition of bacterial cell wall biosynthesis. The construction of the bacterial cell wall is mediated by several key enzymes, including transpeptidase, transfer RNA (tRNA), and carboxy-lyase, which assemble and cross-link chains of N-acetylglucosamine and N-acetylmuramic acid to form peptidoglycan.

Normally, transpeptidase enzymes interact with the D-alanyl-D-alanine residues of the peptide side chain to form an acyl-enzyme intermediate. The structure of transpeptidases naturally excludes water molecules from the active site, allowing this intermediate to react with an amino group on an adjacent peptide chain, thus completing the cross-linking process that stabilizes the cell wall.

In the presence of β-lactam antibiotics, however, the β-lactam ring is mistakenly recognized by the transpeptidase enzyme as the D-alanyl-D-alanine substrate. As a result, the enzyme forms a covalent bond with the β-lactam molecule instead. Because no adjacent amino group is available and water is excluded, the enzyme remains trapped in an inactive acyl-enzyme complex [12].

Consequently, the synthesis and stability of the peptidoglycan layer are severely disrupted, leading to weakened bacterial cell walls. Depending on which penicillin-binding proteins (PBPs) are affected, this process can ultimately result in cell lysis [1].

Figure 1. Diagram of the Mechanism of Action of Antibiotics

2. 1 Mechanism of Action of Antibiotics

  1. Attacking and Destroying Bacterial Cell Walls:This is one of the most common mechanisms of antibiotic action. These drugs either attack and break down the bacterial cell wall or inhibit its synthesis, preventing the cell from maintaining its structural integrity and protection from the external environment [1].
  2. Interference with Protein Synthesis:Some antibiotics inhibit protein synthesis by binding to the molecular machinery responsible for assembling amino acids into proteins. Others damage existing intracellular proteins, thereby disrupting essential metabolic processes.
  3. Inhibition of Nucleic Acid Synthesis:Certain antibiotics prevent the synthesis of DNA or RNA, thus stopping replication and cell division.
  4. Interference with Cell Reproduction:Some antibiotics disrupt bacterial cell division mechanisms, effectively halting the multiplication and spread of bacterial populations.
  5. Alteration of Bacterial Cell Membrane Structure:By changing the permeability or structure of bacterial cell membranes, antibiotics can cause leakage of vital cellular contents, leading to cell death.

Figure 2. Major Targets of Antibiotic Action

3. Broad-Spectrum Antibiotics 

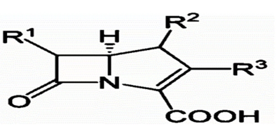
3.1 Carbapenem Class Antibiotics

 Pembahasan dalam artikel telah memaparkan hasil secara detail dan mengaitkannya dengan teori-teori utama mengenai mekanisme kerja β-laktam, interaksi dengan PBPs, serta tantangan resistensi. Penulis tampak konsisten menghubungkan konsep struktural carbapenem dengan referensi terdahulu sehingga keterkaitan teori dan temuan cukup terjaga. Meskipun demikian, beberapa bagian masih dominan bersifat uraian teoritis, sementara isu temuan inti tidak selalu disoroti secara eksplisit. Pembahasan akan lebih hidup bila penulis menekankan perbandingan kritis antara literatur dan analisis yang disajikan, sehingga pembaca dapat menangkap nilai tambah penelitian dengan lebih jelas.

Carbapenems represent a class of highly potent antibiotics typically reserved for the treatment of severe or high-risk bacterial infections, particularly those caused by multidrug-resistant organisms. Similar to penicillins and cephalosporins, carbapenems belong to the β-lactam family of antibiotics. They exert their bactericidal effect by binding to penicillin-binding proteins (PBPs) and thereby inhibiting bacterial cell wall synthesis [9].

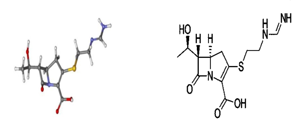
Figure 3. Chemical Structure of Carbapenems

3. 2 Relationship Between Structure, Activity, and Function

However, carbapenems exhibit a broader spectrum of activity than most cephalosporins and penicillins and are generally more resistant to β-lactamase enzymes, which degrade other β-lactam antibiotics. Structurally, carbapenems are closely related to penicillin (penam), but with a key difference — the sulfur atom at position 1 in the ring structure is replaced by a carbon atom, and a double bond is introduced, giving rise to the name carbapenem.

Carbapenems are β-lactam bactericidal agents with proven efficacy in treating severe infections caused by extended-spectrum β-lactamase (ESBL)-producing bacteria. Common examples include imipenem, meropenem, doripenem, ertapenem, panipenem, and biapenem, all widely used worldwide due to the growing resistance of Enterobacteriaceae to cephalosporins.

Nonetheless, emerging resistance mechanisms, particularly the spread of carbapenem-destroying β-lactamases, have increasingly limited treatment options. Initially, carbapenem agents were discovered from diverse natural sources, but the choice of therapy now depends largely on the specific pathogen involved [13].

Carbapenems possess a unique molecular structure composed of a carbapenem ring fused with a β-lactam ring, which confers resistance to most β-lactamases, including metallo-β-lactamases (MBLs) and extended-spectrum β-lactamases (ESBLs) [14].

Therefore, carbapenems remain among the most reliable antibiotics for treating serious bacterial infections. However, the emergence and global spread of carbapenem resistance represent a major public health concern [6]. Recent years have seen a significant rise in research data concerning carbapenem resistance mechanisms and potential strategies to overcome them [9].

Carbapenems are a potent subclass of the β-lactam family of antimicrobial agents and are structurally related to penicillins. Their mechanism of action begins with the penetration of the bacterial cell wall and subsequent binding to enzymes known as penicillin-binding proteins (PBPs) [2]. The main inhibitory PBP targets are 1a, 1b, 2, and 3, and the resulting bactericidal effect occurs through inactivation of autolytic enzymes within the cell wall, ultimately leading to bacterial death [15].

Previous studies have reported that inhibition of PBPs 2 and 3 in Gram-negative bacilli generally results in the formation of spherical and filamentous cells, respectively [16]. Current understanding identifies transpeptidase inhibition as the primary enzymatic target of carbapenems during bacterial cell wall biosynthesis. PBPs consist mainly of carboxypeptidase and transpeptidase enzymes, which are responsible for peptide cross-linking during peptidoglycan synthesis. Carbapenems form a covalent bond with these enzymes, thereby preventing cross-linking and weakening the cell wall [16].

The lethal effect of carbapenems is attributed to autolytic degradation of the bacterial cell wall [17]. According to [3], the precise mechanism of carbapenem activity remains not fully elucidated; however, significant emphasis is placed on the rigid glycan backbone of the peptidoglycan. When PBPs are inhibited, cell wall integrity is compromised, the glycan backbone is degraded by autolytic enzymes, and ultimately, the bacterial cell is destroyed due to osmotic pressure, especially in Gram-negative bacteria [18].

Overall, carbapenems are preferred over other antimicrobial classes for the treatment of severe or life-threatening infections, owing to their concentration-independent bactericidal effect against a broad spectrum of bacterial pathogens. They exhibit broad-spectrum activity against both Gram-positive and Gram-negative bacteria, including anaerobes [2].

It is noteworthy that a wider range of antibacterial activity is observed among aminocarbapenems containing a pyrrolidine ring, such as meropenem, doripenem, panipenem, and ertapenem. Exceptionally, biapenem, which also includes a cyclic amino group, demonstrates moderate efficacy against certain Gram-negative bacterial strains.

Clinical trials comparing imipenem/cilastatin and meropenem have confirmed their effectiveness in treating a variety of infections, including complicated intra-abdominal infections, skin and soft tissue infections, community-acquired and hospital-acquired pneumonia, complicated urinary tract infections, meningitis (meropenem only), and febrile neutropenia [2].

2-1. Imipenem

Imipenem is a broad-spectrum antibiotic belonging to the carbapenem class. It exhibits potent activity against a wide range of Gram-positive, Gram-negative, and anaerobic bacteria [19].

Mechanism of Action

Imipenem acts by interfering with the bacterial cell wall synthesis, specifically targeting the peptidoglycan layer. As a member of the β-lactam family, it inhibits a group of enzymes known as penicillin-binding proteins (PBPs)—particularly the transpeptidase enzyme, which catalyzes the cross-linking of glycan strands. This inhibition prevents the formation of the rigid peptidoglycan structure, resulting in the loss of cell wall integrity. Consequently, the bacterial cytoplasmic membrane becomes vulnerable to osmotic pressure, leading to cell lysis and bactericidal activity [20].

Imipenem was discovered in 1975 and approved for clinical use in 1985. It was developed through extensive research aimed at producing a more stable analog of the natural product thienamycin, which is synthesized by Streptomyces cattleya. Although thienamycin exhibits strong antibacterial properties, its instability in aqueous solution makes it unsuitable for therapeutic use. Imipenem, in contrast, retains thienamycin’s antimicrobial potency while offering improved chemical stability [21].

This antibiotic demonstrates broad activity against both aerobic and anaerobic bacteria, including Gram-positive and Gram-negative strains. It is particularly effective against Pseudomonas aeruginosa and Enterococcus species; however, it remains ineffective against MRSA (Methicillin-resistant Staphylococcus aureus).

Efficacy

Imipenem is resistant to β-lactamases, but its effectiveness is diminished by renal dehydropeptidase, an enzyme found in the renal tubules that degrades the drug and reduces its urinary concentration. Therefore, it is co-administered with cilastatin, a renal dehydropeptidase inhibitor, to preserve its antimicrobial activity.

Clinical Uses

The imipenem/cilastatin combination is used to treat a wide range of infections, including lower respiratory tract infections, urinary tract infections, upper respiratory tract infections, infective endocarditis, pseudomonal infections, and staphylococcal infections [22]. Common adverse effects include nausea and vomiting. Patients with known allergies to penicillin or other β-lactam antibiotics should exercise caution, as there is a high risk of cross-reactivity. At high doses, imipenem may induce seizures [14].

Figure 4. Chemical structure of Imipenem.

4. Meropenem

Meropenem is a broad-spectrum antibiotic belonging to the carbapenem family. It demonstrates strong activity against most Gram-positive and Gram-negative bacteria. The drug is administered intravenously to treat various types of severe infections.

Mechanism of Action : Meropenem inhibits bacterial cell wall synthesis by binding to multiple penicillin-binding proteins (PBPs), similar to the mechanism of penicillins. It may also exhibit synergistic effects when combined with aminoglycosides.

Clinical Uses Meropenem is used in the treatment of intra-abdominal infections caused by Streptococcus viridans, Streptococcus pyogenes, Escherichia coli, Klebsiella pneumoniae, Pseudomonas aeruginosa, and Bacteroides fragilis. It is also indicated for the treatment of bacterial meningitis (in children older than three months) caused by Streptococcus pneumoniae, Haemophilus influenzae, and Neisseria meningitidis.

Common side effects include nausea, diarrhea, constipation, headache, rash, and pain at the injection site. Serious adverse reactions may include Clostridioides difficile infection, seizures, and allergic reactions, including anaphylaxis. Individuals allergic to other β-lactam antibiotics are more likely to be hypersensitive to meropenem as well. Use during pregnancy appears to be safe [17].

Meropenem, a member of the carbapenem class, causes bacterial cell death by inhibiting cell wall formation. It is highly resistant to degradation by β-lactamase-producing bacteria. The compound was patented in 1983 and approved for medical use in the United States in 1996. It is listed in the World Health Organization (WHO) Model List of Essential Medicines, and WHO classifies it as critically important to human medicine.

The spectrum of activity includes a wide range of Gram-positive, Gram-negative (including Pseudomonas), and anaerobic bacteria. Its general activity is similar to that of imipenem, although meropenem is more active against Enterobacteriaceae and less active against Gram-positive bacteria. It remains effective against extended-spectrum β-lactamase (ESBL)-producing bacteria, but it may be more susceptible to metallo-β-lactamases [23].

Meropenem is frequently used in the treatment of febrile neutropenia, a condition that commonly occurs in patients with hematologic malignancies or cancer receiving bone marrow-suppressing chemotherapy. It is also approved for the treatment of complicated skin and soft tissue infections, complicated intra-abdominal infections, and bacterial meningitis.

In 2017, the U.S. Food and Drug Administration (FDA) approved the combination of meropenem and vaborbactam for the treatment of complicated urinary tract infections (cUTIs) in adults.

Figure 5. Chemical structure of Meropenem

5. Narrow-Spectrum Antibiotics

A narrow-spectrum antibiotic is one that acts against a limited range of bacteria or a single bacterial type, unlike broad-spectrum antibiotics, which target multiple bacterial species. Narrow-spectrum antibiotics offer several advantages, such as reducing the likelihood of bacterial resistance and preserving the beneficial microbiota in the body. Consequently, they help minimize the risk of Clostridioides difficile infection and are often used for recurrent infections once the specific causative bacteria have been identified [24].

6. Types of Narrow-Spectrum Antibiotics

Temocillin is a new injectable β-lactam antibiotic specifically designed for parenteral administration. It is effective against most Gram-negative bacteria and remains stable against a wide range of β-lactamases. Temocillin is a semi-synthetic, β-lactamase-resistant, narrow-spectrum penicillin with strong antibacterial activity.

Pharmacokinetic studies in both animals and humans have shown that temocillin is well distributed throughout body tissues and can cross the placenta. The primary elimination pathway is renal (approximately 89%), where the drug is excreted unchanged as the main compound, primarily through glomerular filtration of the unbound form [15].

A complete toxicological safety evaluation program has been conducted, including acute, subacute, and chronic toxicity studies in rats and dogs, as well as reproductive and mutagenicity studies [25].

Temocillin exerts its antibacterial effect by binding to penicillin-binding proteins (PBPs) located on the inner membrane of the bacterial cell wall. This binding inhibits PBP activity, disrupting the cross-linking of peptidoglycan chains essential for bacterial cell wall strength and rigidity. As a result, cell wall synthesis is impaired, leading to weakening of the bacterial cell wall and ultimately to cell lysis [3].

Figure 6. Chemical composition of Temocillin [26]

Conclusions

  1. Carbapenems are structurally unique β-lactam antibiotics, distinguished by the substitution of sulfur with carbon in the ring system and the presence of a double bond, which enhances their chemical stability and broad-spectrum antibacterial activity.
  2. The molecular structure of carbapenems is directly responsible for their high affinity to penicillin-binding proteins (PBPs), leading to inhibition of peptidoglycan cross-linking and eventual bacterial cell death.
  3. Resistance mechanisms, particularly bacterial β-lactamase enzymes, pose a significant threat to carbapenem efficacy. The structural modifications in carbapenems, however, provide enhanced resistance to hydrolysis by many β-lactamases, including extended-spectrum β-lactamases (ESBLs).
  4. Understanding the structure–activity relationship (SAR) of carbapenems is essential for the development of next-generation derivatives with improved resistance to β-lactamases and greater therapeutic potential.
  5. Rational design and molecular analysis of carbapenems remain critical in combating multidrug-resistant bacterial infections, ensuring these antibiotics retain their clinical relevance in modern medicine.

References

[1] C. Walsh and C. Walsh, Antibiotics: Actions, Origins, Resistance. Washington, DC: American Society for Microbiology, 2003.

[2] G. G. Zhanel et al., “Comparative Review of the Carbapenems,” Drugs, vol. 67, pp. 101–115, 2007.

[3] K. M. Papp-Wallace, A. Endimiani, M. A. Taracila, and R. A. Bonomo, “Carbapenems: Past, Present, and Future,” Antimicrobial Agents and Chemotherapy, vol. 55, pp. 100–112, 2011.

[4] B. A. Cunha, N. S. Hamid, V. Krol, and L. Eisenstein, “Safety of Meropenem in Patients Reporting Penicillin Allergy: Lack of Allergic Cross Reactions,” Journal of Chemotherapy, vol. 20, pp. 45–53, 2008.

[5] A. I. Al-Sanafie, Antimicrobial Agents. Baghdad: University Publications, 2010.

[6] S. Datta and C. Wattal, “Carbapenemase-Producing Gram-Negative Bacteria in Tertiary Health Care Setting: Therapeutic Challenges,” Journal of the Indian Medical Students Association (JIMSA), vol. 23, pp. 22–30, 2010.

[7] G. Bonfiglio, G. Russo, and G. Nicoletti, “Recent Developments in Carbapenems,” Expert Opinion on Investigational Drugs, vol. 12, pp. 12–25, 2002.

[8] M. A. Al-Ainiya and M. M. Talouzi, Comprehensive Book of Clinical Drugs. Jerusalem: Dar Al-Quds for Sciences, n.d.

[9] R. R. Watkins and R. A. Bonomo, “Increasing Prevalence of Carbapenem-Resistant Enterobacteriaceae and Strategies to Avert a Looming Crisis,” Expert Review of Anti-Infective Therapy, vol. 11, pp. 5–15, 2013.

[10] G. Bonfiglio, G. Russo, and G. Nicoletti, “Carbapenems,” Clinical Microbiology and Infection, vol. 14, pp. 34–45, 2008.

[11] M. S. Wilke, A. L. Lovering, and N. C. J. Strynadka, “β-Lactam Antibiotic Resistance: A Current Structural Perspective,” Current Opinion in Microbiology, vol. 8, pp. 44–52, 2005.

[12] M. F. Al-Margani, Antibiotics. Baghdad: University of Al-Mustansiriya, College of Science, 2011.

[13] H. C. Gram, “Uber Die Isolierte Farbung Der Schizomyceten in Schnitt- und Trockenpraparaten,” Fortschritte Der Medizin, vol. 2, pp. 101–110, 1884.

[14] K. M. Knapp and B. K. English, “Carbapenems,” Seminars in Pediatric Infectious Diseases, vol. 12, pp. 18–27, 2001.

[15] Y. Sumita and M. Fukasawa, “Potent Activity of Meropenem Against Escherichia Coli Arising From Its Simultaneous Binding to Penicillin-Binding Proteins 2 and 3,” Journal of Antimicrobial Chemotherapy, vol. 35, pp. 77–85, 1995.

[16] M. V. Hayes and D. C. Orr, “Mode of Action of Ceftazidime: Affinity for the Penicillin-Binding Proteins of Escherichia Coli K12, Pseudomonas Aeruginosa, and Staphylococcus Aureus,” Journal of Antimicrobial Chemotherapy, vol. 12, pp. 55–63, 1983.

[17] V. Van Dam, N. Olrichs, and E. Breukink, “Specific Labeling of Peptidoglycan Precursors as a Tool for Bacterial Cell Wall Studies,” Chembiochem, vol. 10, pp. 12–20, 2009.

[18] M. M. Garcia, “Carbapenemases: A Real Threat,” APUA Newsletter, vol. 11, pp. 7–12, 2013.

[19] C. Walsh, “Molecular Mechanisms That Confer Antibacterial Drug Resistance,” Nature, vol. 406, pp. 88–94, 2000.

[20] P. Hugenholtz, “Exploring Prokaryotic Diversity in the Genomic Era,” Genome Biology, vol. 3, pp. 12–20, 2002.

[21] J. N. Kattan, M. V. Villegas, and J. P. Quinn, “New Developments in Carbapenems,” Clinical Microbiology and Infection, vol. 14, pp. 40–49, 2008.

[22] J. van Heijenoort, “Formation of the Glycan Chains in the Synthesis of Bacterial Peptidoglycan,” Glycobiology, vol. 11, pp. 33–41, 2001.

[23] P. Nordmann, T. Naas, and L. Poirel, “Global Spread of Carbapenemase-Producing Enterobacteriaceae,” Emerging Infectious Diseases, vol. 17, pp. 52–59, 2011.

[24] G. Meletis, “Carbapenem Resistance: Overview of the Problem and Future Perspectives,” Therapeutic Advances in Infectious Disease, vol. 4, pp. 33–42, 2016.

[25] O. Popa and T. Dagan, “Trends and Barriers to Lateral Gene Transfer in Prokaryotes,” Current Opinion in Microbiology, vol. 14, pp. 24–32, 2011.

[26] A. L. Koch, “Bacterial Wall as Target for Attack: Past, Present, and Future Research,” Clinical Microbiology Reviews, vol. 16, pp. 101–115, 2003.