Login
Section Science

Adsorptive Removal of Crystal Violet from Aqueous Solutions using Agarose Gel as a Natural Adsorbent

Penghilangan Kristal Violet dari Larutan Air Menggunakan Gel Agarosa sebagai Adsorbent Alami
Vol. 10 No. 2 (2025): December:

Azhar Hameed Gatea (1), Alaa Mohammed Ali (2), Aseer shakir Ajel (3)

(1) Department of Pathological Analytics Science, Iraq
(2) Thi-Qar Education Directorate, Iraq
(3) Department of Pathological Analytics Science, Iraq

Abstract:

General Background: Wastewater containing synthetic dyes requires sustainable treatment solutions. Specific Background: Agarose gel, a natural polysaccharide with abundant hydroxyl groups, offers strong affinity toward cationic dyes such as crystal violet. Knowledge Gap: Limited studies have comprehensively assessed how pH, contact time, and initial dye concentration jointly influence adsorption onto agarose while comparing advanced three-parameter isotherm models. Aims: This study investigates the adsorption of crystal violet onto agarose gel and evaluates equilibrium behavior using Langmuir, Sips, and Radke–Prausnitz models. Results: Adsorption reached 95 percent removal under mildly alkaline conditions (pH 9) within 50 minutes, with higher initial concentrations reducing removal due to surface saturation. The Sips and Radke–Prausnitz models showed superior fitting (R² > 0.998), indicating heterogeneous and cooperative adsorption, while Langmuir was adequate only at low concentrations. Novelty: This research is among the first to directly compare the Sips and Radke–Prausnitz models for agarose-based adsorption of crystal violet. Implications: Agarose demonstrates strong potential as a low-cost, biodegradable adsorbent for green wastewater treatment systems, providing insights for future development of natural polymer-based remediation technologies.


Highlights
• High adsorption efficiency of agarose under alkaline conditions
• Superior fitting of Sips and Radke–Prausnitz models
• Potential of agarose as a green adsorbent for dye removal


Keywords: Agarose, Adsorption Isotherm, Crystal Violet, Natural Adsorbent, Wastewater Treatment

Downloads

Download data is not yet available.

Figure 1.

Introduction

Adsorption has become one of the most reliable techniques for water and wastewater treatment due to its simplicity, low cost, and environmentally friendly nature. It is defined as "the increase in the concentration of a surface at the interface of a condensed and a liquid or gaseous layer owing to the operation of surface forces," where the substance being absorbed is the absorbate and the solid surface is the absorbent. Depending on the interaction forces, Adsorption can occur physically through van der Waals forces or chemically through bond formation[1, 2].

The effectiveness of adsorption depends largely on the properties of the absorbent, such as pore size, surface area, and micropore volume, which determine its absorptive capacity. Recently, adsorption has been extensively applied for removing toxic pollutants, including heavy metals and synthetic dyes like crystal violet, from contaminated water[3, 4].

Adsorption isotherm models are widely used to describe equilibrium behavior, predict absorptive capacity, and evaluate adsorbent performance [2]. Understanding the adsorption process requires the development of adsorption isotherm models, which describe the equilibrium relationship between the concentration of absorbate in the liquid or gas phase and that absorbed on the solid surface at constant temperature and pH[5].

These models offer vital information regarding adsorption mechanisms, physicochemical properties of the adsorbent's surface, and the affinity of adsorbates, and they are essential tools for predicting adsorption capacity, optimizing operational conditions, and designing large-scale treatment systems[6].

Over the past decades, extensive efforts have been devoted to formulating reliable adsorption isotherms. Early models, such as Henry's isotherm, are applicable only at low adsorbate concentrations. Later, Freundlich's and Langmuir's isotherms represented the first empirical and theoretical approaches, respectively. While these models significantly enriched our knowledge about adsorption, each carries inherent limitations, particularly in addressing heterogeneous surfaces, multi-layer adsorption, or a wide range of adsorbate-adsorbent interactions[7, 8].

Accordingly, a variety of adsorption models have been developed, which can generally be classified into two-, three-, four-, and five-parameter isotherms, in addition to multi-component models. Common to the two-parameter model include Langmuir and Fréndlich, Temkin, Dubinin-Radushkevich, and BET isotherms. The more flexible three-parameter models, such as Redlich-Peterson, Sips, Toth, Radke-Prausnitz, and Brouers-Sotolongo, accommodate a broader concentration range. Multicomponent models, such as the extended Langmuir and extended Freundlich isotherms, account for competitive adsorption in complex systems [1, 9].

The continuous development of adsorption isotherm models highlights their fundamental importance in environmental engineering, material science, and surface chemistry. By accurately describing adsorption equilibrium, these models provide a theoretical basis for understanding adsorption mechanisms, predicting system performance, and guiding the design of sustainable treatment technologies [5, 7].

Agarose is a neutral gelling polysaccharide fraction of agar, consisting of a linear polymer of alternating D-galactose and 3,6-anhydro-L-galactose residues linked by α-1,3 and β-1,4 glycosidic bonds, see figure 1 [10,11]. This unique structural configuration promotes the spontaneous formation of a three-dimensional network stabilized by hydrogen bonding, which underlies its characteristic gelation behavior. Commercial high-purity agarose generally has an average molecular mass of 120 kDa and contains only trace amounts of sulfate (>0.3%) and carboxyl (<0.05%) substituents, which are further reduced under alkaline processing conditions.

Figure 2. Figure 1 : Structural representation of agarose.

Since its introduction by Hjertén as a chromatographic medium, agarose has been widely used in bioprocessing and is marketed under trade names such as Sepharose™ and Superose™[12-14]. Due to its high porosity, mechanical strength, strong hydrophilicity, and chemical inertness, agarose is particularly suitable for diverse biotechnological applications, including protein separation, enzyme immobilization, and surface derivatization through covalent cross-linking or hydroxyl modification. These features make agarose an attractive and versatile material for adsorption studies, especially in the design of stable and efficient support matrices for biochemical and industrial processes[15-19].

This approach demonstrates significant promise due to its high efficiency and environmentally friendly profile, while the pursuit of effective and economically viable adsorbents continues to be a major research focus. Among these, agarose stands out as a naturally derived, environmentally safe biopolymer, rendering it an ideal candidate for advancing sustainable treatment technologies.

Experimental details

1. Chemicals and Instruments

A set of chemical reagents of analytical grade was used without further purification. The chemical reagents included Crystal Violet from Sigma Aldrich, which was selected as a contaminant (adsorbate) to study adsorption. Agarose of low electroendosmosis from Merck KGaA, Darmstadt, Germany, was used as an adsorbent. Additionally, hydrochloric acid and sodium hydroxide, obtained from Thomas Baker in India, were used for the pH adjustment of the experimental medium.

A digital biological microscope from Euromex (iscope), Netherlands, was used to capture images of the surface of the adsorbent materials. The concentrations of the crystal violet before and after adsorption were determined using a UV-Visible spectrophotometer (T60 UV-Visible Spectrophotometer) from PG Instruments, United Kingdom. A pH meter was also used to adjust the acidity of the solutions throughout the experiments. Furthermore, a shaker FTSK-350 from Scifinetech, China, was used to maintain uniform mixing and to enhance the interaction between the adsorbent and the dye.

2. Preparation of Stock Solution

A 100 ppm stock solution of crystal violet dye was prepared for adsorption experiments. For this purpose, 100 mg of crystal violet dye was precisely weighed and dissolved in 1 liter of distilled water. The solution was thoroughly mixed to ensure complete dissolution and subsequently stored in a dark container to protect it from photodegradation.

For adjusting the pH of the solutions, 1 N sodium hydroxide and 1 N hydrochloric acid solutions were prepared. A 1N sodium hydroxide solution was prepared by dissolving 4 g of NaOH in 100 ml of distilled water. Similarly, a 1 N hydrochloric acid solution was prepared by diluting approximately 8.3 ml of concentrated HCl into 100 ml of distilled water.

3. Calibration curve

A series of standard solutions of a crystal violet dye with concentrations of 2, 4, 6, 8, and 10 ppm was prepared by diluting a 100 ppm stock solution. Then, absorbance measurements were conducted at 590 nm using a UV-visible spectrophotometer. A linear calibration curve was generated as illustrated in the figure.

Figure 3. Figure 2 : Standard c alibration curve of crystal violet dye in water at 590nm.

4. Adsorption Experiments

Batch adsorption experiments for the removal of crystal violet from aqueous solution were conducted in an orbital shaker at a constant speed of 100 rpm and a controlled temperature of 30 ±1 0C. For the adsorbent, agarose gel was prepared by dissolving 1 gm of agarose powder in 100 ml of hot distilled water until a homogeneous solution was obtained. The hot homogeneous gel was subsequently cast into 5 beakers (10 gm for each) and allowed to cool to achieve gelation[20, 21].

The adsorption process was carried out under the above control conditions for the designated contact time. After equilibrium was reached, the bulk solution containing the dye was separated from the agarose gel using conventional gravity filtration to obtain the clarified liquid phase. The residual concentration of a crystal violet dye was determined using a UV-visible spectrophotometer. The measurement was performed at the adsorption maximum of 590 nm. The difference between the initial and equilibrium concentrations of dye was used to perform the adsorption -related calculations under the applied experimental conditions[22-24].

The effects of various factors on the adsorption process, including pH, contact time, and initial dye concentration, were systematically investigated[25].

Result and Discussion

1. Effect of pH

In this study, the effect of solution pH on the adsorption of a crystal violet dye onto agarose gel was systematically investigated within the range of pH (3-12) (figure 3). The results clearly showed that both the chemical stability of the dye and the surface charge characteristics of agarose are strongly dependent on pH. In strongly acidic conditions (pH <3), crystal violet dye undergoes complete protonation, which changes its color to yellow[26,27]. Under these conditions, agarose gel also loses part of its structural stability[12].

Figure 4. Figure 3 : Effect of pH on the adsorption of crystal violet dye onto agarose gel.

At acidic conditions (pH 3-5), the dye remains stable in its purple cationic form. However, the high concentration of H⁺ ions in the solution causes electrostatic repulsion with the protonated agarose surface, leading to weak adsorption (about 24.9%). At neutral conditions, the adsorption percentage increases significantly up to 71.49%.

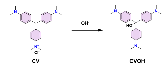
Under alkaline conditions (pH equal to 9), the adsorption performance becomes optimal. The agarose surface becomes highly negatively charged, maximizing electrostatic attractions with CV+. In addition, secondary interactions such as hydrogen bonding and possible π-π stacking between the aromatic rings of crystal violet and the agarose matrix stabilize adsorption. In strong basic conditions (pH=12), adsorption percentage was very high, up to 96.56%. However, the crystal violet dye undergoes a slow reaction with hydroxide ions to form a neutral, colorless product (CVOH), as illustrated in figure 3. This phenomenon is known as color disappearance, which can interfere with absorbance measurements, making the adsorption results unreliable[28]. Overall, the results showed that moderately alkaline conditions (around pH 9) represent the most suitable medium for the adsorption of crystal violet onto the agarose gel surface[12, 29].

Figure 5. Figure 4 : Schematic representation of converting crystal violet dye to a colorless form in strong basic media.

2 . Effect of contact time

The adsorption of a crystal violet dye onto agarose gel was shown to be significantly dependent on contact time, as illustrated in Figure 5. In this initial stage (10-20 minutes), the adsorption percentage is around 77.16%. This steady phase can be attributed to the limited interaction of the molecules with the agarose surface. At this stage, the adsorption process is primarily governed by the external mass transfer of the adsorbate (crystal violet dye molecules) from the bulk solution to the surface of the adsorbent (agarose gel).

Figure 6. Figure 5 : Effect of contact time on the adsorption of crystal violet dye onto agarose gel.

A significant change was observed after 30 minutes, where the adsorption percentage increased to about 86.11%. This is a stage that marks the beginning of intraparticle diffusion, where dye molecules penetrate deeper into the pores of the agarose matrix. The availability of internal active sites promotes further adsorption, which gradually increases over time, reaching about 95.07% at 50 minutes. This is a steady increase, suggesting that the system has approached dynamic equilibrium, where the rates of adsorption and desorption become nearly balanced.

Therefore, it can be concluded that sufficient contact time is essential to maximize dye intake capacity. Income belief contact time results in underutilization of the active site, where prolonged interaction ensures both surface and intraparticle adsorption are fully achieved. Findings confirm that 50 minutes represents the optimal equilibrium time for adsorption of crystal violet onto agarose gel under the studied conditions[30].

3. Effect of initial concentration

The study of this important effect demonstrated a clear decrease in removal percentage (R%) with increasing initial dye concentration C0. The results indicated that the removal percentage decreased from 84.57% at 10 ppm to approximately 73.73% at 15 ppm. Beyond this point, the removal percentage continued to decrease even when the concentration was increased to 25 ppm[31]. See Figure 6.

Figure 7. Figure 6 : Effect of initial crystal violet dye concentration on its adsorption onto agarose gel.

Figure 5 illustrates that the Adsorption process is highly efficient within the studied concentration range. At an initial dye concentration of 5 ppm, the dye removal efficiency is 84.58%, which is maintained at the same level for 10 ppm concentration. However, a slight decrease in the removal efficiency is observed at higher concentrations: 82.49% at 15 ppm, 80.84% at 20 ppm, and 79.37% at 25 ppm. This trend suggests that the Adsorption sites on the agarose surface approach saturation as the concentration increases, causing the removal efficiency to stabilize at lower concentrations and decrease at higher ones. This behavior does not fully conform to the assumptions of the Langmuir isotherm. However, it is more accurately represented by heterogeneous models such as the Sips and Ratkey-Prausnitz isotherms, which account for variations in surface energy and deviations from ideal monolayer adsorption[32].

From a chemical perspective, the high efficiency of agarose gel can be explained by the abundance of hydroxyl functional groups (-OH) on its polysaccharide chains. These groups interact with dye molecules through hydrogen bonding and van der Waals forces. Additionally, the porous structure of the gel provides a relatively large surface area, which further enhances its adsorption capacity[33].

Collectively, these findings indicate that agarose gel can achieve nearly complete removal of crystal violet dye at low concentrations. This has potential as a low-cost, sustainable, and eco-friendly adsorbent for wastewater treatment. Thus, agarose emerges as a promising biomaterial for practical applications in the treatment of dye-contaminated water.

4. Adsorption Isotherm Model

The adsorption of crystal violet dye onto agarose gel was evaluated using three well-established adsorption isotherms: Langmuir, Sips, and Radke-Prausnitz. These models provide insight into the interaction between the dye molecules and the surface of agarose gel, which plays a crucial role in wastewater treatment applications.

4 .1. Langmuir isotherm model

The Langmuir isotherm assumes a monolayer adsorption on a surface with a finite number of identical sites, where each site can only adsorb one molecule. The linear plot of Ce/qe versus Ce, along with the high correlation coefficient (R² = 0.9897), suggests that the adsorption is nearly consistent with Langmuir behavior at lower concentrations as shown in Figure 7. The Langmuir model suggests the existence of a saturation point, where further adsorption is inhibited due to the complete occupation of available sites on the agarose surface. However, deviations from the ideal monolayer adsorption behavior were observed, especially at higher concentrations, indicating that the model does not fully capture the complexity of the system[34-37].

Figure 8. Figure 7 : Langmuir isotherm depicting the adsorption of crystal violet dye onto agarose gel at 30°C, pH 9, and a contact time of 50 minutes.

From the Langmuir isotherms shown in Table 1, the maximum adsorption capacity (qm) of crystal violet dye on agarose gel was found to be 67.659 mg/g, with a Langmuir constant (K) of 0.68299 L/g and a high coefficient of determination (R² = 0.98971). These values ​​also confirm the strong affinity between the agarose surface and the dye molecules, supporting the applicability of the Langmuir model to describe the adsorption process, despite slight deviations at higher concentrations.

4 .2. Radke-Praunsnitz Isotherm Model

The Radke-Prausnitz model also demonstrated an excellent fit to the experimental data, yielding a high R² value of 0.9989. This model accounts for variations in adsorption energies, providing a more comprehensive understanding of the adsorption process. Additionally, the good fit of the data to the Radke-Prausnitz model supports the hypothesis that the agarose surface exhibits a heterogeneous distribution of active sites, each with varying binding affinities for the dye molecules. A detailed representation of the adsorption data using the Radke-Prausnitz model is shown in Figure 7.

Figure 9. Figure 8 : Radke-Prausnitz isotherm depicting the adsorption of crystal violet dye onto agarose gel at 30°C, pH 9, and a contact time of 50 minutes.

The model parameters, including qm = 0.21126 mg/g, K = 0.15387 L/g, and n = 0.91927, provide valuable insight into the nature of the Adsorption process. The parameter qm (0.21126 mg/g) suggests a limited capacity for dye adsorption, which aligns with the observation of the surface saturation at higher dye concentrations. The value of k (0.15387 L/g) represents the affinity of the dye molecule for the agarose surface, and its magnitude indicates a moderate interaction strength. The parameter n (0.91927) reflects the degree of non-linearity in the Adsorption process. Since the value is less than 1, it indicates that the adsorption is cooperative, with the different sites having varying affinities for the dye, and the Adsorption process becomes less favorable at higher concentrations. This is none of the ideal Adsorption behavior, as captured by the Radke-Prausnitz model, further validating the presence of multiple adsorption sites with heterogeneous characteristics on the agarose surface[38,39].

4.3. Sips isotherm model

The Sips isotherm model is more flexible and comprehensive compared to the Langmuir and Freundlich isotherms, as it combines features from both while accounting for surface heterogeneity. As shown in Figure 8, this model allows for varying adsorption energies across different sites on the agarose surface, making it more suitable for systems where the adsorbent surface is heterogeneous. The high correlation coefficient (R² = 0.9992) indicates an excellent agreement between the experimental data and the Sips model. Thus, this model is more suitable for describing the adsorption behavior of crystal violet dye on agarose gel.

Figure 10. Figure 9 : Sips isotherm depicting the adsorption of crystal violet dye onto agarose gel at 30°C, pH 9, and a contact time of 50 minutes.

The parameter values ​​derived from the Sips model (qm = 0.3238 mg/g, K = 0.08203 L/g, n = 0.97099) give meaningful insights into the nature of the adsorption process. The value of qm (0.3238 mg/g) indicates the maximum adsorption capacity, indicating that the gel can adsorb a certain number of dye molecules before the surface becomes saturated. The value of K (0.08203) represents the adsorption equilibrium constant, reflecting the affinity between the dye molecules and the agarose surface. The coefficient n (0.97099), close to 1, supports the idea of ​​a cooperative adsorption process, where both favorable and unfavorable interactions occur between the dye molecules and the gel surface. An n close to 1 highlights the heterogeneity of the agarose surface, with binding affinity varying across the available sites[40].

Table 1: Adsorption isotherm parameters for crystal violet dye adsorption onto agarose gel.
Isotherm model Equation Parameters Values at 30 0
Langmuir qm K R 2 67.659 mg/g 0.68299 L/mg 0.98971
Radke- Praunsnitz qm K n R 2 0.21126 mg/g 0.15387 L/g, n = 0.91927 0.9989
Sips qm K n R 2 0.3238 mg/g, 0.08203 L/g 0.97099 0.9992
Table 1.

Conclusion

The findings confirm that agarose gel is a highly effective, low-cost, and eco-friendly adsorbent for the removal of Crystal Violet dye from aqueous media. Its high performance can be attributed to the porous structure and abundant hydroxyl functional groups, which facilitate electrostatic interaction. hydrogen bonding and secondary forces with dye molecules.

It was demonstrated that operating parameters and solution chemistry had a significant impact on the adsorption process, with pH and contact time being important efficiency determinants. The heterogeneous character of the agarose gel surface and the cooperative nature of adsorption are further revealed by the excellent association with the Sips and Radke-Prausnitz models, which are more suited to describe the system than the classical Langmuir model.

Overall, this study positions agarose as a promising biomaterial for sustainable wastewater treatment technologies, especially for the removal of toxic dyes. Future research should focus on the regeneration and reusability of agarose-based absorbents, as well as on multicomponent systems that better reflect real wastewater conditions. Such advancements will enhance the feasibility of scaling up agarose applications in industrial effluent treatment and support the development of greener water purification strategies. Moreover, future efforts may also explore the chemical modification of agarose to further enhance its adsorption capacity and selectivity.

References

[1] M. M. Majd, V. Kordzadeh-Kermani, V. Ghalandari, A. Askari, and M. Sillanpää, “Adsorption Isotherm Models: A Comprehensive and Systematic Review (2010–2020),” Science of the Total Environment, vol. 812, p. 151334, Nov. 2021, doi: 10.1016/j.scitotenv.2021.151334.

[2] J. Wang and X. Guo, “Adsorption Isotherm Models: Classification, Physical Meaning, Application and Solving Method,” Chemosphere, vol. 258, p. 127279, Jun. 2020, doi: 10.1016/j.chemosphere.2020.127279.

[3] M. A. Al-Ghouti and D. A. Da’ana, “Guidelines for the Use and Interpretation of Adsorption Isotherm Models: A Review,” Journal of Hazardous Materials, vol. 393, p. 122383, Feb. 2020, doi: 10.1016/j.jhazmat.2020.122383.

[4] X. Chen et al., “Isotherm Models for Adsorption of Heavy Metals from Water: A Review,” Chemosphere, vol. 307, p. 135545, Jul. 2022, doi: 10.1016/j.chemosphere.2022.135545.

[5] K. Y. Foo and B. H. Hameed, “Insights Into the Modeling of Adsorption Isotherm Systems,” Chemical Engineering Journal, vol. 156, no. 1, pp. 2–10, Sep. 2009, doi: 10.1016/j.cej.2009.09.013.

[6] B. O. Isiuku, P. C. Okonkwo, and C. D. Emeagwara, “Batch Adsorption Isotherm Models Applied in Single and Multicomponent Adsorption Systems: A Review,” Journal of Dispersion Science and Technology, vol. 42, no. 12, pp. 1879–1897, Aug. 2021, doi: 10.1080/01932691.2021.1964988.

[7] Z. S. Waly and S. M. Merdas, “Magnetic Nanocomposites Revolutionize Heavy Metal Adsorption for Environmental Cleanup,” Academia Open, vol. 9, no. 2, Sep. 2024, doi: 10.21070/acopen.9.2024.10207.

[8] L. Koopal, W. Tan, and M. Avena, “Equilibrium Mono- and Multicomponent Adsorption Models: From Homogeneous Ideal to Heterogeneous Non-Ideal Binding,” Advances in Colloid and Interface Science, vol. 280, p. 102138, Mar. 2020, doi: 10.1016/j.cis.2020.102138.

[9] G. Alberti, V. Amendola, M. Pesavento, and R. Biesuz, “Beyond the Synthesis of Novel Solid Phases: Review on Modelling of Sorption Phenomena,” Coordination Chemistry Reviews, vol. 256, no. 1–2, pp. 28–45, Sep. 2011, doi: 10.1016/j.ccr.2011.08.022.

[10] T. Tan, Z. Su, M. Gu, J. Xu, and J. Janson, “Cross-Linked Agarose for Separation of Low Molecular Weight Natural Products in Hydrophilic Interaction Liquid Chromatography,” Biotechnology Journal, vol. 5, no. 5, pp. 505–510, May 2010, doi: 10.1002/biot.201000017.

[11] V. Vivcharenko, A. Benko, K. Palka, M. Wojcik, and A. Przekora, “Elastic and Biodegradable Chitosan/Agarose Film Revealing Slightly Acidic pH for Potential Applications in Regenerative Medicine as Artificial Skin Graft,” International Journal of Biological Macromolecules, vol. 164, pp. 172–183, Jul. 2020, doi: 10.1016/j.ijbiomac.2020.07.099.

[12] P. Zucca, R. Fernandez-Lafuente, and E. Sanjust, “Agarose and Its Derivatives as Supports for Enzyme Immobilization,” Molecules, vol. 21, no. 11, p. 1577, Nov. 2016, doi: 10.3390/molecules21111577.

[13] P. Zucca, R. Fernandez-Lafuente, and E. Sanjust, “Agarose and Its Derivatives as Supports for Enzyme Immobilization,” Molecules, vol. 21, no. 11, p. 1577, 2016, doi: 10.3390/molecules21111577.

[14] C. Delattre, T. A. Fenoradosoa, and P. Michaud, “Galactans: An Overview of Their Most Important Sourcing and Applications as Natural Polysaccharides,” Brazilian Archives of Biology and Technology, vol. 54, no. 6, pp. 1075–1092, Dec. 2011, doi: 10.1590/s1516-89132011000600002.

[15] C. Zhao et al., “Polysaccharide-Based Biopolymer Hydrogels for Heavy Metal Detection and Adsorption,” Journal of Advanced Research, vol. 44, pp. 53–70, Apr. 2022, doi: 10.1016/j.jare.2022.04.005.

[16] F. Jiang et al., “Extraction, Modification and Biomedical Application of Agarose Hydrogels: A Review,” Marine Drugs, vol. 21, no. 5, p. 299, May 2023, doi: 10.3390/md21050299.

[17] R. M. Felfel, M. J. Gideon-Adeniyi, K. M. Z. Hossain, G. A. F. Roberts, and D. M. Grant, “Structural, Mechanical and Swelling Characteristics of 3D Scaffolds From Chitosan–Agarose Blends,” Carbohydrate Polymers, vol. 204, pp. 59–67, Oct. 2018, doi: 10.1016/j.carbpol.2018.10.002.

[18] P. Zarrintaj et al., “Agarose-Based Biomaterials for Tissue Engineering,” Carbohydrate Polymers, vol. 187, pp. 66–84, Jan. 2018, doi: 10.1016/j.carbpol.2018.01.060.

[19] C. Zhang et al., “Preparation, Characterization, and Modification Mechanism of Agar Treated With Hydrogen Peroxide at Different Temperatures,” Food Hydrocolloids, vol. 101, p. 105527, Nov. 2019, doi: 10.1016/j.foodhyd.2019.105527.

[20] J. Bayuo, M. J. Rwiza, M. Sillanpää, and K. M. Mtei, “Removal of Heavy Metals From Binary and Multicomponent Adsorption Systems Using Various Adsorbents: A Systematic Review,” RSC Advances, vol. 13, no. 19, pp. 13052–13093, Jan. 2023, doi: 10.1039/d3ra01660a.

[21] Z. You et al., “Agarose Film-Based Liquid–Solid Conversion for Heavy Metal Detection of Water Samples by Laser-Induced Breakdown Spectroscopy,” Molecules, vol. 28, no. 6, p. 2777, Mar. 2023, doi: 10.3390/molecules28062777.

[22] C. Zhao et al., “Polysaccharide-Based Biopolymer Hydrogels for Heavy Metal Detection and Adsorption,” Journal of Advanced Research, vol. 44, pp. 53–70, Apr. 2022, doi: 10.1016/j.jare.2022.04.005.

[23] N. Aramesh, A. R. Bagheri, and M. Bilal, “Chitosan-Based Hybrid Materials for Adsorptive Removal of Dyes and Underlying Interaction Mechanisms,” International Journal of Biological Macromolecules, vol. 183, pp. 399–422, Apr. 2021, doi: 10.1016/j.ijbiomac.2021.04.158.

[24] B. Zarrik et al., “Adsorption of Crystal Violet Using a Composite Based on Graphene Oxide-ED@Cellulose: Adsorption Modeling, Optimization and Recycling,” Inorganic Chemistry Communications, vol. 162, p. 112179, Feb. 2024, doi: 10.1016/j.inoche.2024.112179.

[25] A. Chatterjee, S. Shamim, A. K. Jana, and J. K. Basu, “Insights Into the Competitive Adsorption of Pollutants on a Mesoporous Alumina–Silica Nanosorbent Synthesized From Coal Fly Ash and Waste Aluminium Foil,” RSC Advances, vol. 10, no. 26, pp. 15514–15522, Jan. 2020, doi: 10.1039/d0ra01397h.

[26] L. D. Felix, “Kinetic Study of the Discoloration of Crystal Violet Dye in Sodium Hydroxide Medium,” Journal of Chemistry and Applied Chemical Engineering, vol. 2, no. 1, Jan. 2018, doi: 10.4172/2576-3954.1000115.

[27] S. Madhavakrishnan et al., “Adsorption of Crystal Violet Dye From Aqueous Solution Using Ricinus Communis Pericarp Carbon as an Adsorbent,” Journal of Chemistry, vol. 6, no. 4, pp. 1109–1116, Jan. 2009, doi: 10.1155/2009/764197.

[28] O. Dzeikala, M. Prochon, A. Marzec, and S. Szczepanik, “Preparation and Characterization of Gelatin–Agarose and Gelatin–Starch Blends Using Alkaline Solvent,” International Journal of Molecular Sciences, vol. 24, no. 2, p. 1473, Jan. 2023, doi: 10.3390/ijms24021473.

[29] A. Bondarev and C.-G. Gheorghe, “Adsorptive Removal of Crystal Violet Dye From Aqueous Solutions Using Natural Resource Systems,” Desalination and Water Treatment, vol. 264, pp. 215–223, Jul. 2022, doi: 10.5004/dwt.2022.28560.

[30] A. S. El-Shafie et al., “Removal of Antibiotics From Aqueous Solutions: Insights of Competitive Adsorption Onto Ni-Impregnated Biochar of Spent Coffee Grounds,” Applied Water Science, vol. 14, no. 9, Aug. 2024, doi: 10.1007/s13201-024-02238-8.

[31] U. Selengil and D. Yıldız, “Investigation of the Methylene Blue Adsorption Onto Waste Perlite,” Desalination and Water Treatment, vol. 262, pp. 235–247, Jun. 2022, doi: 10.5004/dwt.2022.28530.

[32] K. M. Thien, P. Adametz, S. Weber, F. Taft, and V. Thom, “Preparation and Characterization of Strong Cation Exchange Agarose Beads: Influence of Crosslinking and Modeling of Performance Data,” Advances in Polymer Technology, vol. 2025, no. 1, Jan. 2025, doi: 10.1155/adv/9672927.

[33] K. Belkassa, M. Khelifa, I. Batonneau-Gener, K. Marouf-Khelifa, and A. Khelifa, “Understanding the Mechanism of Crystal Violet Adsorption on Modified Halloysite: Hydrophobicity, Performance and Interaction,” Journal of Hazardous Materials, vol. 415, p. 125656, Mar. 2021, doi: 10.1016/j.jhazmat.2021.125656.

[34] L. Wang, C. Shi, L. Wang, L. Pan, X. Zhang, and J.-J. Zou, “Rational Design, Synthesis, Adsorption Principles and Applications of Metal Oxide Adsorbents: A Review,” Nanoscale, vol. 12, no. 8, pp. 4790–4815, Jan. 2020, doi: 10.1039/c9nr09274a.

[35] J. Chen, X. Jiang, D. Yin, and W. Zhang, “Preparation of a Hydrogel-Based Adsorbent for Metal Ions Through High Internal Phase Emulsion Polymerization,” ACS Omega, vol. 5, no. 32, pp. 19920–19927, Aug. 2020, doi: 10.1021/acsomega.9b03405.

[36] G. Crini, “Non-Conventional Low-Cost Adsorbents for Dye Removal: A Review,” Bioresource Technology, vol. 97, no. 9, pp. 1061–1085, Jun. 2005, doi: 10.1016/j.biortech.2005.05.001.

[37] G. Crini, “Non-Conventional Low-Cost Adsorbents for Dye Removal: A Review,” Bioresource Technology, vol. 97, no. 9, pp. 1061–1085, Jun. 2005, doi: 10.1016/j.biortech.2005.05.001.

[38] G. Limousin et al., “Sorption Isotherms: A Review on Physical Bases, Modeling and Measurement,” Applied Geochemistry, vol. 22, no. 2, pp. 249–275, Nov. 2006, doi: 10.1016/j.apgeochem.2006.09.010.

[39] X. Guo and J. Wang, “A Novel Monolayer Adsorption Kinetic Model Based on Adsorbates ‘Infect’ Adsorbents Inspired by Epidemiological Model,” Water Research, vol. 253, p. 121313, Feb. 2024, doi: 10.1016/j.watres.2024.121313.

[40] O. P. Murphy, M. Vashishtha, P. Palanisamy, and K. V. Kumar, “A Review on the Adsorption Isotherms and Design Calculations for the Optimization of Adsorbent Mass and Contact Time,” ACS Omega, vol. 8, no. 20, pp. 17407–17430, Apr. 2023, doi: 10.1021/acsomega.2c08155.