Login
Section Education

Role Play Center Model Develops Early Childhood Language Skills

Model Pusat Peran Bermain Mengembangkan Keterampilan Bahasa pada Anak Usia Dini
Vol. 10 No. 1 (2025): June:

Nadia alif Madinah (1), Choirun Nisak Aulina (2)

(1) Universitas muhammadiyah sidoarjo, Indonesia
(2) Universitas Muhammadiyah Sidoarjo, Indonesia
Fulltext View | Download

Abstract:

General Background: Early childhood represents a critical period for rapid development, particularly in language acquisition, which underpins communication, social interaction, and cognitive growth. Specific Background: Play-based learning approaches, especially structured role-play activities within learning centers, provide opportunities for children to practice verbal expression in meaningful contexts. Knowledge Gap: Despite widespread adoption of role-play centers in early childhood classrooms, limited qualitative evidence documents how their implementation supports language development and what contextual factors facilitate or hinder success. Aims: This study analyzes the implementation of a role-play center learning model in developing young children’s language abilities and identifies supporting and inhibiting factors in its application at TK Aisyiyah 38 Driyorejo. Results: Using a qualitative narrative approach with interviews, observations, and documentation, the findings indicate noticeable progress in vocabulary acquisition, speaking confidence, sentence formation, and social communication. Contributing conditions include a well-prepared learning environment, active teacher facilitation, parental involvement, and institutional support, while constraints involve limited materials, diverse child characteristics, and insufficient parental understanding. Novelty: The study offers an in-depth contextual description of daily role-play center practices and their relationship to expressive and receptive language use in authentic classroom interactions. Implications: These findings suggest that structured role-play environments, supported by collaborative school–family engagement and adequate resources, can serve as a practical pedagogical framework for fostering early language development in preschool settings.


Highlights:




  • Children demonstrated expanded vocabulary, clearer utterances, and greater willingness to communicate during thematic simulations.




  • Successful implementation depended on environmental readiness, educator guidance, and family participation.




  • Resource limitations and varied learner traits posed practical challenges to classroom application.




Keywords:
Role Play Center; Early Childhood Education; Language Development; Play-Based Learning; Qualitative Narrative

Downloads

Download data is not yet available.

Pendahuluan

Anak usia dini adalah individu yang mengalami perkembangan pesat. Dimulai dari usia nol hingga mencapai delapan tahun. Masa ini merupakan periode yang paling tepat untuk mengembangkan semua potensi yang dimiliki anak. Karena pada tahap ini mereka sangat peka terhadap rangsangan dan pembelajaran. Potensi tersebut hanya dapat berkembang dengan optimal jika diberikan stimulasi dan rangsangan yang sesuai dengan tahap pertumbuhan mereka. Dengan pendekatan yang tepat, pendidik dapat menciptakan lingkungan yang mendukung dan merangsang minat belajar anak[1]. Sehingga mereka dapat mengeksplorasi berbagai kemampuan dan keterampilan yang ada dalam diri mereka.

Sebagai program awal dalam memberikan stimulasi kegiatan untuk merangsang aspek perkembangan anak idealnya pada masa perkembangan anak usia dini[2]. Bahasa untuk anak usia dini penting untuk berkomunikasi, mengungkapkan keinginan serta mengekspresikan diri[3]. Anak-anak dapat menggunakan bahasa untuk menyampaikan konsep dan makna dengan susunan kata yang jelas dan mudah dipahami. Menurut Bromley, keterampilan berbahasa terdiri dari empat komponen: membaca, menulis, berbicara, dan menyimak. Berbicara

merupakan proses yang sangat kompleks yang mencakup berpikir, penggunaan bahasa, dan keterampilan sosial yang diperlukan untuk berinteraksi dengan baik[4]. Oleh karena itu, membangun keterampilan berbahasa sejak dini akan membantu anak-anak membangun hubungan yang positif dan berkomunikasi secara efektif dengan orang lain

Menurut Rusniah, kemampuan berbahasa adalah tahap perkembangan yang merupakan salah satu dari bidang pengembangan kemampuan dasar untuk meningkatkan kemampuan dan kreativitas anak yang telah dipersiapkan oleh guru[5]. Perkembangan Bahasa pada anak terbagi menjadi dua kategori yaitu Bahasa reseptif dan Bahasa ekspresif. Bahasa reseptif melibatkan kemampuan berbicara dan menyampaikan pendapat. Keterampilan berbahasa ekspresif sangat penting karena memungkinkan anak tidak hanya mengungkapkan pikirannya, tetapi juga lebih mudah memahami maksud orang di sekitarnya. Hal ini memungkinkan terjadinya komunikasi yang lebih efektif dan meningkatkan keterampilan berbahasa anak[6]. Keterampilan berbahasa yang baik memungkinkan anak mengekspresikan kebutuhan, keinginan, dan emosinya dengan lebih mudah serta memungkinkannya berpartisipasi lebih aktif dalam lingkungan social.

Model pembelajaran sentra adalah macam-macam kegiatan atau unit yang digunakan dalam metode pembelajaran untuk sarana pembelajaran dalam bermain. Menurut Asmawati, sentra merupakan area bermain anak yang dirancang untuk mendukung perkembangan anak yang dilengkapi dengan alat-alat permainan[7]. Dalam system sentra ruang kelas terdiri dari beberapa sentra yang masing-masing berfokus pada bidang perkembangan tertentu. Sentra-sentra ini termasuk sentra ibadah, sentra bahan alam, sentra seni dan kreativitas, sentra persiapan sentra bermain peran, sentra balok, sentra music dan olah tubuh [8].

Metode bermain peran adalah serangkaian kegiatan pembelajaran yang di gunakan pendidik untuk mendapatkan pengalaman yang diperankannya melalui kemapuan penampilan peserta didik dalam upaya mengembangkan social dan kepercayaan diri anak[9]. Menurut Elizabeth B. Hurlock, permainan berpura-pura (sering di sebut dengan bermain peran) adalah salah satu bentuk kegiatan yang sangat aktif dimana anak berpartisipasi dalam kegiatan yang melibatkan situasi yang tampak atau benar-benar terjadi dalam kenyataan. Jean Piaget juga memiliki pandangan mendalam tentang permainan peran, menurutnya pada tahap ini anak mempunyai kebebasan untuk mengekspresikan atau menunjukkan keterampilan fisik dan karakter yang mereka ciptakan sendiri atau yang mereka ketahui dari orang- orang di sekitar mereka, seperti keluarga, teman, dan karakter dalam cerita[10]. Adapun karakteristik utama bermain peran yaitu memberikan pijakan (scaffolding) untuk membangun anak dalam memahami konsep densitas dan intensitas bermain serta ,membangun ide, konsep aturan dan pengetahuan anak[11].

Berdasarkan pengamatan yang dilakukan, data yang diperoleh menunjukkan bahwa model pembelajaran sentra bermain peran yang dilakukan di TK Aisyiyah 38 Driyorejo menggunakan model bermain peran makro. Model tersebut memberikan dampak positif dalam meningkatkan keterampilan berbahasa anak. Hal ini terlihat jelas dari keaktifan anak saat berinteraksi dengan guru dan temannya selama belajar di kelas. Proses pembelajaran di sentra diawali dengan pembuatan rencana pembelajaran yang disesuaikan dengan minat dan kebutuhan anak. Guru kemudian memberikan petunjuk yang jelas tentang cara melakukan kegiatan di sentra tersebut, sehingga menciptakan suasana yang menumbuhkan interaksi social dan komunikasi antar anak. Setelah kegiatan selesai, guru akan melakukan penilaian untuk mengukur perkembangan keterampilan berbahasa anak.

Pada penelitian sebelumnya menjelaskan model pembelajaran sentra peran berdampak positif pada kemampuan berbicara anak-anak berusia lima hingga enam tahun. Anak-anak belajar bahasa secara alami, tetapi interaksi mereka dengan dunia luar seperti peran social, penguatan dan imitasi juga berpengaruh[8]. Juga pada penelitian lainnya bahwa adanya peningkatan dari implementasi sentra bermain peran yaitu adanya peningkatan anak yang cadel, pengenalan kosa kata baru pada anak ketika recalling anak-anak mampu menceritakan pendapatnya dan anak mampu diajak berbicara dua arah meski memerlukan waktu untuk merespon[12].

Berdasarkan latar belakang di atas maka penelitian ini bertujuan untuk menganalisis model pembelajaran sentra bermain peran dalam meningkatkan kemampuan bahasa anak dan untuk mengetahui factor pendukung dan penghambat implementasi model pembelajaran sentra bermain peran.

Metode

Penelitian ini menggunakan desain penelitian kualitatif. Metode yang digunakan dalam penelitian ini adalah pendekatan naratif. Pendekatan naratif digunakan dalam penelitian ini untuk mengetahui pengalaman subjektif individu lebih mendalam[13]. Sedangkan menurut Clandinin dalam Wikaton, Penelitian naratif adalah laporan bersifat narasi yang menceritakan urutan peristiwa secara terperinci[14]. Dalam penelitian kualitatif melibatkan peneliti secara langsung untuk memahami situasi fenomena alami yang terjadi dalam konteks yang berbeda-beda

Lokasi penelitian dilaksanakan di TK Aisyiyah 38 Driyorejo. Tempat ini sebagai objek penelitian karena telah menggunakan model pembelajaran sentra dan terdapat sentra bermain peran. Dalam penelitian ini teknik pengumpulan data yang digunakan yaitu observasi, wawancara dan dokumentasi. Observasi dalam penelitian ini

dilakukan secara langsung di lokasi yaitu TK Aisyiyah 38 Driyorejo, khususnya pada kegiatan pembelajaran di sentra bermain peran. Peneliti mengamati proses belajar mengajar yang berlangsung, mulai dari persiapan guru, pelaksanaan kegiatan bermain peran, hingga interaksi anak selama bermain. Fokus observasi mencakup keaktifan anak dalam berbicara, kemampuan menyusun kalimat, penggunaan kosakata baru, serta respons anak terhadap teman dan guru. Selain itu, peneliti juga mencatat bagaimana guru memfasilitasi permainan, memberi arahan, dan menstimulasi perkembangan bahasa anak melalui dialog dan contoh konkret. Kemudian wawancara juga dilakukan di TK Aisyiyah 38 Driyorejo dengan pendidik dari kelas sentra bermain peran. Sedangkan dokumentasi pengumpulan data dalam bentuk foto kegiatan pembelajan[15]. Jenis data yang digunakan pada penelitian ini yaitu berupa data skunder dan data primer. Data skunder merupakan data yang telah dikumpulkan dan dipublikasikan oleh pihak lain, bukan dari sumber pertama yang berupa data dokumen sedangkan data primer merupakan data langsung yang dikumpulkan oleh peneliti sendiri dari sumber pertama untuk tujuan penelitian tertentu yang berupa hasil wawancara dan observasi ketika penelitian berlangsung.

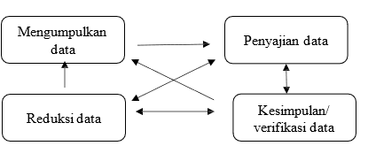
Setelah data penelitian dari informan didapatkan, hal selanjutnya yang akan dilakukan dalam penelitian ini adalah analisis data kualitatif naratif. Analisis data masuk dengan data teks atau gambar dan keluar dengan laporan atau narasi[16]. Proses penganalisisan data dalam penelitian kualitatif dilakukan sejak pengumpulan data dan dilakukan secara mendalam, baik selama di lapangan maupun setelah dari lapangan. Adapun teknik yang akan digunakan untuk menganalisis data yang telah diperoleh adalah teknik analisis data kualitatif yaitu pengumpulan data, reduksi data, penyajian data, kemudian penarikan kesimpulan[17].

Pengumpulan data merupakan tahap awal peneliti mengumpulkan data dari berbagai sumber melalui wawancara, observasi dan dokumentasi yang didapatkan. Pengumpulan data ini dilakukan bersaan dengan kegiatan analisis awal. Setelah itu kemudian dilakukan reduksi data dengan memilah, memilih, memfokuskan, dan menyederhanakan data dari catatan lapangan yang bertujuan untuk mengeliminasi data yang tidak relevan seperti catatan observasi yang panjang, yang diperlukan hanya bagian yang berkaitan dengan interaksi verbal anak dalam bermain peran. Langkah selanjutnya yaitu penyajian data. Penyajian data merupakan proses menyusun dan menata informasi yang telah direduksi ke dalam bentuk visual atau narasi agar mudah dipahami dan dianalisis lebih lanjut. Dan yang terakhir yaitu penarikan kesimpulan. Pada tahap ini, makna dari data yang telah di sajikan mulai dirumuskan untuk menemukan pola, hubungan, atau kesimpulan yang relevan. Dari sini, peneliti bisa menyimpulkan beberapa hal seperti pola-pola yang sering muncul, hubungan sebab akibat antar peristiwa, kategori yang paling menonjol, hingga kesimpulan umum yang masih bersifat sementara atau tergantung pada kondisi tertentu.

Figure 1. Teknis analisis data Miles & Huberman (2014)

Hasil dan Pembahasan

A. Implementasi Model Pembelajaran Sentra Bermain Peran

Berdasarkan hasil penelitian dari model pembelajaran sentra bermain peran dalam meningkatkan kemampuan bahasa anak yang dilaksanakan di TK Aisyiyah 38 Driyorejo dari hasil wawancara kepada guru, diketahui bahwa model pembelajaran sentra bermain peran sudah dilaksanakan sejak tiga tahun yang lalu. Metode yang digunakan di TK tersebut adalah bermain peran makro. Dalam main peran makro anak berperan sesungguhnya dan menjadi seseorang atau sesuatu[18]. Dalam pendekatan ini, anak-anak benar-benar memerankan suatu tokoh atau profesi secara menyeluruh, seolah-olah mereka menjadi orang tersebut dalam situasi nyata. Guru menjelaskan bahwa melalui bermain peran makro, anak-anak lebih bebas berekspresi dan mengembangkan kemampuan komunikasinya karena mereka terlibat langsung dalam skenario yang menyerupai kehidupan nyata. Model pembelajaran sentra bermain peran di kelas dilaksanakan setiap hari sesuai dengan jadwal yang telah ditentukan. Sebelum anak-anak memainkan peran, guru memperkenalkan cerita singkat atau tanya jawab yang relevan dengan tema hari itu, seperti pasar, rumah sakit, atau sekolah. Selanjutnya, anak-anak dipersilakan memilih peran yang ingin dimainkan, seperti misalnya menjadi pasien, dokter, perawat dan banyak lagi. Guru juga menyediakan berbagai alat peraga seperti meja, kursi, uang mainan, alat medis mainan dan kostum sederhana untuk mendukung suasana bermain yang lebih nyata. Ketika anak-anak mengikuti kegiatan bermain peran, guru tetap mendampingi, mengamati proses interaksi mereka serta memberikan arahan dengan cara yang lembut dan menyenangkan agar anak bebas berekspresi, namun tetap berada dalam tujuan pembelajaran. Bahkan sesekali turut serta dalam permainan untuk memancing percakapan, pertanyaan, dan respons verbal dari anak. Guru juga menggunakan pertanyaan terbuka, seperti “Pasien kamu sakit apa?” atau “Kamu jual apa hari ini?” guna memancing anak untuk merespons dan menggunakan bahasa lisan. Selain itu, guru memberikan umpan balik positif setelah anak berinteraksi, menyampaikan pendapat atau seperti pujian atas keberanian mereka berbicara, sehingga anak merasa dihargai dan semakin termotivasi. Pada akhir kegiatan, guru mengajak anak melakukan refleksi ringan, seperti menceritakan kembali peran yang dimainkan atau kata-kata baru yang mereka gunakan. Hal ini sejalan dengan hasil penelitian Witri & Rika yang menunjukkan bahwa guru dalam kegiatan bermain berperan sebagai perencana, pengamat, model, fasilitator, elaborator, dan evaluator, termasuk terlibat secara langsung dalam permainan serta memberikan pertanyaan dan arahan untuk mendukung perkembangan bahasa anak secara menyeluruh[19]. Guru di TK Aisyiyah 38 Driyorejo menerapkan berbagai strategi dalam merancang kegiatan bermain peran, agar pelaksanaannya berjalan lancar dan sesuai dengan tingkat perkembangan serta kemampuan anak. Strategi ini dimulai dari: (1) penentuan tema pembelajaran yang sesuai dengan minat dan kebutuhan anak, (2) penentuan tujuan pembelajaran, (3) penyediaan alat dan bahan pendukung, (4) pembuatan skenario sederhana sebagai panduan bermain, (5) pengantar sebelum bermain, (6) pelaksanaan kegiatan, dan (7) refleksi setelah bermain. Refleksi ini menjadi sarana penting untuk mengevaluasi penggunaan bahasa anak selama kegiatan berlangsung.

B. Pengaruh Model pembelajaran sentra bermain peran terhadap Perkembangan bahasa Anak Usia Dini

Model pembelajaran sentra bermain peran merupakan salah satu pendekatan yang digunakan dalam pembelajaran di TK Aisyiyah 38 Driyorejo untuk mendukung perkembangan bahasa secara aktif dan menyenangkan. Dalam penerapannya, anak-anak diberi kesempatan untuk berperan sebagai tokoh tertentu dalam sebuah tema permainan. Kegiatan ini mendorong mereka untuk berbicara, mengekspresikan ide, menanggapi ucapan teman, serta menggunakan kosakata baru dalam konteks nyata. Ada beberapa metode yang digunakan guru TK Aisyiyah 38 Driyorejo untuk menilai keberhasilan model pembelajaran sentra bermain peran dalam meningkatkan kemampuan bahasa anak, yang disesuaikan dengan tahap perkembangan dan usia anak. Langkah pertama dalam menilai keberhasilan model pembelajaran sentra bermain peran dilakukan melalui pengamatan langsung saat kegiatan berlangsung. Guru secara aktif mengamati bagaimana anak-anak terlibat dalam permainan, terutama dari segi penggunaan bahasa. Hal-hal yang diperhatikan antara lain adalah seberapa aktif anak berbicara, kemampuan mereka dalam menyampaikan ide atau pendapat, kemampuan menanggapi ucapan teman, serta penggunaan kosakata baru yang muncul secara alami dalam percakapan. Perubahan perilaku anak juga menjadi indikator penting. Misalnya, anak yang sebelumnya cenderung pendiam dan pasif, namun mulai menunjukkan keberanian untuk berbicara dan terlibat dalam komunikasi, dianggap sebagai tanda bahwa kegiatan bermain peran memberikan dampak positif terhadap perkembangan bahasanya. Hal ini didukung oleh hasil penelitian Sri Yuliani, yang menunjukkan bahwa guru berperan penting dalam menumbuhkan kemampuan anak dalam menggunakan kosakata baru melalui metode yang variatif dan menyenangkan, seperti bermain, bercerita, dan diskusi kelompok[20]. Pendekatan ini terbukti efektif mendorong anak yang semula pasif menjadi lebih aktif dalam berkomunikasi. Selain melalui pengamatan langsung, guru juga mencatat perkembangan bahasa anak secara tertulis menggunakan buku observasi atau lembar penilaian. Dalam catatan ini, guru menilai beberapa aspek penting, seperti kemampuan anak dalam menyusun kalimat sederhana, keberanian menyampaikan pendapat, serta perkembangan kosakata yang terlihat dari minggu ke minggu. Pencatatan ini membantu guru melihat kemajuan anak secara lebih terstruktur. Selain itu, guru juga membandingkan perkembangan bahasa anak dari waktu ke waktu, misalnya dari awal tahun ajaran hingga beberapa bulan setelah kegiatan bermain peran dilakukan secara rutin. Anak yang awalnya masih malu-malu berbicara, namun kemudian menjadi lebih lancar, percaya diri, dan aktif dalam berkomunikasi, dianggap menunjukkan kemajuan. Hal ini menjadi salah satu bukti bahwa model pembelajaran sentra bermain peran memberikan pengaruh positif terhadap perkembangan bahasa anak. Hal ini diperkuat oleh hasil penelitian Sriami dkk., yang menunjukkan adanya peningkatan kemampuan bahasa ekspresif anak dari 38,7% pada tahap awal menjadi 88,3% setelah beberapa kali pelaksanaan kegiatan bermain peran, yang dilakukan melalui dua siklus pembelajaran secara bertahap dan terstruktur[21]. Terakhir, antusiasme dan partisipasi anak selama kegiatan juga menjadi tolak ukur penting dalam menilai keberhasilan model pembelajaran sentra bermain peran. Anak-anak yang terlihat bersemangat memilih peran, dengan aktif berbicara dan berinteraksi selama bermain, menunjukkan bahwa mereka merasa nyaman, senang, dan terlibat secara emosional maupun sosial dalam proses pembelajaran. Kondisi ini mencerminkan bahwa kegiatan bermain peran bukan hanya menyenangkan, tetapi juga mendukung pengembangan bahasa secara alami. Oleh karena itu, keberhasilan model ini tidak hanya dinilai dari jumlah kata atau seberapa sering anak berbicara, tetapi juga dari kualitas interaksi yang dibangun, kejelasan dalam pengucapan, serta peningkatan rasa percaya diri anak dalam berkomunikasi. Ketika anak mampu berbicara dengan lebih jelas, menanggapi teman secara aktif, dan berani menyampaikan pendapat, hal tersebut menjadi indikator bahwa pembelajaran melalui bermain peran efektif untuk mendukung perkembangan bahasa anak usia dini. Sejak diterapkannya model pembelajaran sentra bermain peran, guru mengamati adanya perkembangan yang cukup signifikan dalam kemampuan berbahasa anak-anak. Anak menjadi lebih berani dalam mengungkapkan pendapat, bertanya, dan menanggapi percakapan yang terjadi dengan teman-temannya. Dalam aktivitas bermain, seperti berpura-pura menjadi dokter atau pasien, anak mulai menggunakan kosakata baru yang sebelumnya jarang mereka ucapkan. Beberapa anak bahkan telah mampu menyusun kalimat secara runtut dan jelas, misalnya mengucapkan kalimat seperti, “Bu, pasiennya sakit demam, saya periksa dulu ya.” Selain perkembangan dalam hal kosakata dan struktur kalimat, peningkatan juga tampak pada interaksi sosial mereka. Anak mulai memahami konsep bergiliran berbicara, menyimak dengan baik apa yang disampaikan oleh lawan main, serta menyesuaikan intonasi suara sesuai dengan peran yang sedang dimainkan. Hal ini menjadi bukti bahwa kemampuan bahasa reseptif (kemampuan memahami) dan ekspresif (kemampuan menyampaikan) anak berkembang secara seimbang. Perubahan positif ini menunjukkan bahwa kegiatan bermain peran tidak hanya menyenangkan bagi anak, tetapi juga efektif dalam mendukung proses pembelajaran bahasa secara alami dan bermakna. Berdasarkan hasil observasi dan wawancara, terlihat bahwa anak-anak menunjukkan perkembangan signifikan dalam kemampuan bahasa mereka. Anak yang sebelumnya pendiam menjadi lebih berani berbicara, kosa kata mereka bertambah, dan struktur kalimat yang digunakan menjadi lebih jelas dan runtut. Hal ini diperkuat oleh hasil penelitian Yubariku dkk., yang menunjukkan bahwa melalui kegiatan bermain peran, kemampuan berbicara anak meningkat secara nyata, baik dari aspek pelafalan, kosakata, kelancaran berbicara, maupun pemahaman[22]. Anak-anak menjadi lebih aktif dan percaya diri dalam menggunakan bahasa Indonesia dalam kegiatan sehari-hari. Model ini juga meningkatkan interaksi sosial dan keterampilan komunikasi anak secara keseluruhan. Fokus utama dari kegiatan ini yaitu supaya anak-anak mampu menggunakan bahasa secara alami dalam suasana yang menyenangkan. Pendekatan ini terbukti sangat menyenangkan sekaligus bermanfaat dalam membantu anak menjadi lebih lancar berbicara, percaya diri, dan terbiasa berkomunikasi dengan teman-temannya. Ketika kegiatan bermain peran dimulai, anak-anak menunjukkan respons yang sangat antusias dan penuh semangat. Setiap minggunya, guru mengubah tema kegiatan bermain peran agar anak-anak tidak merasa bosan dan memiliki kesempatan untuk mempelajari hal-hal baru. Tema yang digunakan sangat beragam, seperti menjadi dokter, penjual, guru, atau ibu rumah tangga. Sejak awal sentra dibuka, sebagian besar anak langsung menunjukkan ketertarikan, bahkan sering kali mengajukan pertanyaan seperti, “Hari ini kita jadi apa, Bu?” atau “Aku boleh jadi dokter lagi nggak?” Antusiasme ini menjadi salah satu indikator bahwa mereka benar-benar menikmati proses pembelajaran yang dikemas dalam bentuk permainan. Karena hasil yang diperoleh sangat positif, model pembelajaran ini terus digunakan secara rutin sebagai bagian dari kegiatan harian di kelas. Biasanya, kegiatan bermain peran dilaksanakan setiap hari sesuai dengan jadwal sentra. Sebelum anak-anak memulai permainan, guru memberikan pengantar terlebih dahulu, baik melalui cerita pendek maupun tanya jawab seputar tema yang diangkat hari itu, seperti pasar, rumah sakit, atau sekolah. Setelah itu, anak-anak dipersilakan memilih peran masing-masing, seperti menjadi penjual, pembeli, dokter, pasien, guru, dan lainnya. Untuk mendukung suasana bermain yang lebih nyata, guru menyiapkan berbagai alat peraga, seperti uang mainan, meja, kursi, boneka, dan kostum sederhana. Beberapa anak bahkan menirukan gaya bicara orang dewasa dengan logat khas, yang menunjukkan kemampuan mereka dalam mengamati dan mereproduksi bahasa dalam konteks sosial. Bagi anak yang semula cenderung pemalu dan hanya mengamati, pengalaman melihat teman-teman bermain secara rutin mendorong mereka untuk ikut terlibat secara bertahap. Guru biasanya menggunakan pendekatan yang halus untuk mengajak mereka, seperti menawarkan peran yang sederhana agar mereka merasa percaya diri. Setelah permainan selesai, kegiatan ditutup dengan sesi refleksi singkat. Dalam sesi ini, anak-anak diajak untuk menceritakan kembali apa yang telah mereka lakukan dan menyebutkan kosakata baru yang mereka dengar atau gunakan. Anak-anak merasa senang karena kegiatan ini memberi mereka ruang untuk mengekspresikan diri tanpa rasa takut salah. Saat bermain menjadi penjual dan pembeli, misalnya, mereka bebas berbicara, berimajinasi, dan mencoba menggunakan kosakata baru yang mereka dengar dari lingkungan sekitar. Melalui kegiatan ini, anak-anak memperoleh banyak pengalaman dalam menggunakan kosakata baru, menyusun kalimat, serta berlatih berkomunikasi dengan teman-temannya. Kegiatan ini menunjukkan bahwa model pembelajaran sentra bermain peran menyenangkan dan sangat bermanfaat. Anak-anak menjadi lebih lancar dalam berbicara, tumbuh rasa percaya diri, serta terbiasa berinteraksi dan berkomunikasi dengan teman-temannya. Misalnya, saat berpura-pura menjadi dokter, anak harus bertanya kepada “pasien” seperti, "Kamu sakit apa?" atau saat menjadi penjual, mereka belajar menawarkan barang dan berdiskusi soal harga. Dari situ, anak-anak tidak hanya belajar menyusun kalimat, tetapi juga memperluas kosakata dan melatih pengucapan kata dengan benar. Selain berbicara, anak-anak juga belajar mendengarkan dan merespons lawan bicara. Dengan begitu, mereka tidak hanya aktif dalam menyampaikan pendapat, tetapi juga belajar memahami percakapan. Yang terpenting, suasana bermain peran ini membuat anak-anak merasa nyaman dan tidak tertekan, sehingga mereka lebih berani dan percaya diri dalam menggunakan bahasa.

C. Faktor Pendukung dan Penghambat Implementasi Model Pembalajaran Sentra Bermain Peran

Dalam pelaksanaan model pembelajaran sentra bermain peran, terdapat faktor-faktor yang sangat berperan dalam mendukung keberhasilannya. Berdasarkan wawancara dengan guru TK Aisyiyah 38 Driyorejo, beberapa elemen penting yang berkontribusi terhadap efektivitas model ini antara lain adalah lingkungan belajar yang mendukung, peran aktif guru, keterlibatan orang tua, serta dukungan dari pihak sekolah.

a. Faktor pendukung

Salah satu faktor penting yang mendukung keberhasilan model pembelajaran sentra bermain peran adalah kesiapan lingkungan belajar. Lingkungan yang mendukung akan membuat anak merasa nyaman, tertarik, dan lebih mudah memahami peran yang dimainkan. Sentra bermain peran memerlukan ruang khusus yang ditata sedemikian rupa, lengkap dengan alat peraga dan bahan yang sesuai dengan tema yang sedang dibahas. Misalnya, ketika kegiatan bertema “dokter” dilaksanakan, guru menyiapkan jas dokter mini, boneka sebagai pasien, serta peralatan medis mainan seperti stetoskop dan termometer. Semua perlengkapan ini membantu anak lebih mendalami peran yang mereka mainkan. Lingkungan yang rapi, menarik, dan sesuai dengan tema tidak hanya menambah keseruan kegiatan, tetapi juga mendorong anak untuk lebih aktif berbicara, berimajinasi, dan berinteraksi dengan teman-temannya. Ketika anak merasa tertarik dengan suasana belajar, mereka akan lebih antusias mengikuti kegiatan dan tanpa sadar mengembangkan kemampuan berbahasanya melalui percakapan yang mereka lakukan selama bermain. Selain menyiapkan lingkungan, peran guru sebagai fasilitator juga sangat penting dalam keberhasilan kegiatan bermain peran. Guru tidak hanya duduk mengamati jalannya permainan dari kejauhan, tetapi turut terlibat secara aktif dalam kegiatan. Guru bisa ikut bermain bersama anak-anak, membantu mereka memahami peran yang dimainkan, serta memperkenalkan kosakata baru yang sesuai dengan tema. Misalnya, saat anak bermain tema pasar, guru dapat mengenalkan kata-kata seperti “menimbang”, “menjual”, atau “menawarkan barang”. Selain itu, guru juga memberi contoh dialog sederhana agar anak bisa menirukan dan mengembangkan percakapannya sendiri. Tidak jarang, guru juga membantu menyusun alur cerita saat anak-anak mengalami kebingungan atau kehilangan ide. Keterlibatan guru seperti ini membuat suasana bermain menjadi lebih hidup, terarah, dan mendukung anak untuk lebih percaya diri dalam berbicara serta berinteraksi dengan teman-temannya. Seperti dari hasil penelitian Amalia dan Nurlina menunjukkan bahwa peran aktif guru dalam mendampingi dan merancang aktivitas bermain, seperti permainan peran dan kolaboratif, berpengaruh besar terhadap meningkatnya keterlibatan verbal anak, memperluas kosakata, serta membantu anak menyusun kalimat secara lebih kompleks dan terstruktur dalam suasana belajar yang menyenangkan[23]. Meski demikian, anak tetap diberikan ruang untuk berekspresi dan mengeksplorasi kreativitas mereka secara mandiri. Keberhasilan kegiatan bermain peran juga sangat dipengaruhi oleh perencanaan yang matang dari guru. Sebelum kegiatan berlangsung, guru terlebih dahulu menyusun rencana pembelajaran mingguan yang memuat tema yang akan digunakan, tujuan pembelajaran yang ingin dicapai, serta daftar alat dan bahan yang perlu disiapkan. Tak hanya itu, dalam perencanaan tersebut juga dicantumkan strategi untuk menanamkan nilai-nilai karakter, seperti kerja sama, empati, dan tanggung jawab, yang dapat muncul selama anak-anak bermain bersama. Meskipun dari luar kegiatan ini terlihat seperti bermain biasa, sebenarnya seluruh prosesnya telah dirancang secara sadar dan sistematis. Setiap langkah dalam kegiatan bermain memiliki tujuan yang jelas dan diarahkan untuk membantu perkembangan anak, terutama dalam kemampuan berbahasa dan keterampilan sosial. Dengan perencanaan yang baik, guru dapat memastikan bahwa kegiatan bermain peran bukan hanya menyenangkan, tetapi juga bermakna dan mendukung proses belajar anak secara menyeluruh. Ketersediaan fasilitas yang memadai juga menjadi salah satu faktor penting dalam mendukung keberhasilan pembelajaran melalui sentra bermain peran. Berbagai alat permainan seperti kostum profesi, alat dapur mini, meja kasir, dan alat komunikasi mainan sangat membantu dalam menciptakan suasana bermain yang lebih nyata dan menarik bagi anak. Dengan suasana yang menyerupai dunia nyata, anak-anak lebih mudah memahami peran yang dimainkan dan terdorong untuk menggunakan bahasa dalam konteks yang sesuai. Selain itu, kreativitas guru dalam membuat alat peraga dari bahan-bahan sederhana seperti kardus bekas, botol plastik, atau kain perca juga sangat berperan. Usaha ini tidak dilakukan sendiri, karena pihak sekolah turut memberikan dukungan, baik berupa bahan maupun anggaran, untuk melengkapi kebutuhan alat bermain. Peran serta orang tua juga sangat membantu, misalnya dengan menyumbangkan alat permainan sederhana dari rumah atau berbagi pengalaman sesuai tema, seperti mendongeng atau mengenalkan profesi tertentu. Kolaborasi antara guru, sekolah, dan orang tua ini membuat kegiatan bermain peran menjadi lebih kaya, menyenangkan, dan bermakna bagi perkembangan bahasa anak. Dukungan dari pihak sekolah, terutama dari kepala sekolah, merupakan fondasi penting dalam keberlangsungan model pembelajaran sentra bermain peran. Kepala sekolah yang memiliki pandangan terbuka terhadap pendekatan ini biasanya memberikan ruang gerak yang luas bagi guru untuk berinovasi, serta secara aktif memberikan arahan dan masukan yang membangun demi peningkatan kualitas pembelajaran. Sikap yang suportif ini menciptakan lingkungan kerja yang positif, di mana guru merasa dihargai, didengarkan, dan termotivasi untuk terus mengembangkan pembelajaran yang kreatif dan bermakna. Selain itu, dari sisi kurikulum, kegiatan bermain peran telah disesuaikan dengan capaian pembelajaran anak usia dini. Artinya, kegiatan ini tidak hanya menjadi sarana bermain semata, tetapi juga bagian dari proses belajar yang terstruktur dan memiliki tujuan yang jelas. Dengan adanya dukungan dari manajemen sekolah dan kesesuaian dengan kurikulum, model pembelajaran ini dapat dijalankan secara konsisten dan memberikan dampak nyata terhadap perkembangan bahasa anak. Seperti penelitian yang dilakukan oleh Yuniati dan Rohmadheny menunjukkan bahwa penerapan metode bermain peran di TK ABA Tegalsari telah mengacu pada Kurikulum 2013 PAUD, khususnya dalam pengembangan bahasa ekspresif anak. Kegiatan ini dirancang sesuai dengan indikator capaian pada Kompetensi Dasar 3.11 dan 4.11, yang mencakup kemampuan anak dalam mengungkapkan perasaan, menyampaikan pendapat, mengulang kalimat sederhana, serta berpartisipasi aktif dalam percakapan[24]. Meskipun kegiatan ini berbentuk permainan, sesungguhnya terdapat indikator perkembangan yang sedang dikembangkan, seperti keterampilan berbahasa, sosial-emosional, dan motorik halus. Dengan adanya dukungan dari berbagai pihak seperti kepala sekolah, guru, kurikulum yang sesuai, serta fasilitas yang memadai, kegiatan bermain peran dapat berjalan secara optimal dan berkesinambungan. Namun, dukungan dari orang tua juga memegang peran yang tidak kalah penting. Keterlibatan orang tua menjadi salah satu kunci keberhasilan pembelajaran, terutama dalam membangun hubungan antara proses belajar di sekolah dan kehidupan sehari-hari anak di rumah. Dukungan dari orang tua dapat terlihat dalam berbagai bentuk. Misalnya, memberikan semangat dan mendengarkan cerita anak sepulang sekolah, memberikan apresiasi terhadap peran yang dimainkan anak, hingga membantu dengan menyumbangkan alat peraga atau kostum sederhana sesuai tema kegiatan. Bahkan, ada pula orang tua yang secara sukarela berbagi pengalaman profesinya langsung di kelas, seperti menjadi dokter, petugas bank, atau pedagang, sehingga anak-anak bisa belajar secara langsung dan lebih kontekstual. Yang tak kalah penting, orang tua yang memahami bahwa bermain adalah bagian dari proses pembelajaran anak cenderung lebih sabar, mendukung, dan tidak menuntut hasil instan. Mereka menyadari bahwa melalui bermain, anak mengembangkan banyak aspek— termasuk bahasa, sosial, dan emosional—dengan cara yang menyenangkan dan sesuai dengan dunianya. Terakhir, keberhasilan pelaksanaan sentra bermain peran juga sangat dipengaruhi oleh pemahaman guru terhadap karakter dan gaya belajar masing-masing anak. Setiap anak memiliki keunikan dalam cara mereka belajar dan beradaptasi dengan lingkungan. Ada anak yang langsung aktif terlibat dalam permainan, berbicara dengan teman, dan memainkan peran dengan percaya diri. Namun, ada pula anak yang lebih pemalu atau cenderung diam di awal, memilih untuk mengamati terlebih dahulu sebelum ikut terlibat secara aktif. Dalam situasi seperti ini, guru perlu memiliki kepekaan dan kesabaran dalam mendampingi anak. Guru tidak boleh memaksakan anak untuk langsung berperan, tetapi memberi ruang dan waktu agar anak bisa menyesuaikan diri dengan nyaman. Dengan mengenal karakter setiap anak, guru bisa memberikan pendekatan yang tepat, sehingga semua anak, baik yang aktif maupun yang masih ragu-ragu, tetap bisa memperoleh manfaat dari kegiatan bermain peran. Hal ini diperkuat oleh hasil penelitian Wahyuni dan Musayyadah yang menunjukkan bahwa dalam pelaksanaan model pembelajaran sentra bermain peran, guru secara aktif mempersiapkan kegiatan dengan memperhatikan kesiapan dan respon setiap anak, serta memberikan kesempatan kepada anak untuk memilih peran sesuai minatnya, sehingga anak dapat berpartisipasi secara bertahap sesuai dengan kenyamanan dan karakter masing-masing[25]. Dalam hal ini, sensitivitas guru dalam mendampingi dan membimbing anak sesuai kebutuhannya menjadi kunci keberhasilan pembelajaran. Di sentra bermain peran, anak-anak perlu lingkungan yang kaya akan alat peraga dan material yang sesuai dengan tema. Misalnya, jika bertemakan “dokter”, maka disediakan jas dokter kecil, boneka sebagai pasien, dan peralatan medis mainan. Lingkungan yang disiapkan dengan baik bisa membangkitkan minat anak untuk bermain sambil belajar. Anak-anak tampak senang saat memasuki ruangan yang telah ditata menyerupai ruang praktik dokter. Sebagai fasilitator, guru juga terlibat secara aktif. Sewaktu-waktu guru juga ikut bermain, menyisipkan kosakata baru, mencontohkan dialog sederhana, atau membantu anak mengembangkan alur cerita dalam permainan mereka. Meski demikian, kebebasan anak untuk berekspresi tetap dijaga agar kreativitas mereka dapat tumbuh secara alami. Dengan perencanaan yang matang. Sebelum kegiatan berlangsung, guru telah menyusun rencana mingguan yang memuat tema, tujuan pembelajaran, alat dan bahan, serta nilai-nilai karakter yang ingin ditekankan, seperti kerja sama dan empati. Jadi walaupun kelihatannya anak “hanya bermain”, sesungguhnya ada proses belajar yang dirancang secara terstruktur oleh guru. Keterlibatan orang tua juga tidak dapat diabaikan. Mereka turut mendukung dengan menyumbangkan alat permainan sederhana, memberi semangat kepada anak-anak di rumah, hingga ada yang bersedia berbagi pengalaman profesi langsung di kelas. Banyak orang tua yang cerita kalau anak-anak di rumah suka cerita tentang peran mereka di sekolah. Misalnya, “Tadi aku jadi dokter bu!” atau “Aku jualan nasi goreng sama teman- teman.” Nah, ketika orang tua merespon cerita itu dengan antusias, itu sudah termasuk bentuk dukungan lho, karena anak merasa dihargai dan makin semangat bermain esok harinya. Partisipasi ini memperkaya pengalaman belajar anak dan menjadikan kegiatan bermain peran lebih nyata dan kontekstual. Guru juga sangat memahami bahwa setiap anak memiliki karakter dan gaya belajar yang berbeda. Ada anak yang langsung aktif, dan ada pula yang perlu waktu untuk beradaptasi. Ada juga anak-anak yang awalnya malu-malu, hanya mau mengamati. Tapi setelah beberapa kali ikut melihat temannya bermain, mereka mulai tertarik, lalu pelan-pelan ikut masuk ke peran. Biasanya saya bantu dengan pendekatan halus, misalnya saya bilang, “Kita butuh kasir nih, siapa ya yang bisa bantu?” dan anak yang tadinya diam pun akhirnya mau mencoba. Respons positif ini juga terlihat dari bagaimana mereka bisa bertahan lama dalam satu aktivitas, sesuatu yang tidak selalu mudah di usia dini. Kalau sudah asyik bermain peran, mereka bisa bermain dengan fokus, membuat alur cerita sendiri, bahkan menyelesaikan konflik kecil yang terjadi dengan teman-temannya secara mandiri. Itu artinya mereka sedang belajar banyak hal penting bahasa, sosial, emosional semua lewat bermain. Dengan adanya faktor-faktor pendukung tersebut, pelaksanaan model pembelajaran sentra bermain peran terbukti mampu menciptakan proses belajar yang menyenangkan, kontekstual, dan bermakna, yang secara signifikan mendukung perkembangan bahasa dan keterampilan sosial anak usia dini. Ketersediaan alat peraga, kreativitas guru dalam menciptakan media pembelajaran, serta dukungan dari sekolah dan kepala sekolah turut memperkuat jalannya kegiatan ini. Tidak kalah penting, partisipasi orang tua dalam memberikan dukungan moral maupun material memberi nilai tambah bagi proses belajar anak. Kegiatan ini juga telah selaras dengan tujuan kurikulum pendidikan anak usia dini, mencakup perkembangan bahasa, sosial-emosional, dan motorik halus. Di samping itu, pemahaman guru terhadap karakter dan gaya belajar anak menjadi kunci utama agar setiap anak dapat terlibat dan berkembang sesuai potensinya. Keseluruhan faktor ini membentuk dasar yang kuat bagi terciptanya pembelajaran yang menyenangkan, bermakna, dan efektif melalui bermain peran.

b. Faktor penghambat

Pelaksanaan model pembelajaran sentra bermain peran di TK Aisyiyah 38 Driyorejo, meskipun menyenangkan dan memberikan dampak positif bagi perkembangan anak, tetap menghadapi sejumlah tantangan di lapangan. Salah satu hambatan utama adalah perbedaan karakter setiap anak. Tidak semua anak langsung merasa nyaman untuk tampil dan berperan aktif dalam kegiatan. Ada anak yang sejak awal sudah tampak percaya diri dan antusias, tetapi ada juga yang lebih pendiam, memilih mengamati terlebih dahulu sebelum terlibat. Dalam kondisi ini, peran guru sangat penting, yaitu mendampingi dan membimbing anak secara perlahan agar mereka merasa aman, diterima, dan percaya diri untuk ikut bermain. Selain itu, suasana kelas yang ramai kerap menjadi tantangan tersendiri. Anak-anak yang masih belajar mengatur emosi dan berbagi sering kali berebut alat peraga atau ingin memainkan peran yang sama dengan temannya. Situasi seperti ini bisa memicu konflik kecil antar anak. Oleh karena itu, guru dituntut untuk bersikap bijak dan adil dalam menyelesaikan masalah, sekaligus mengajarkan nilai-nilai seperti bergiliran, menghargai teman, dan menyelesaikan masalah secara damai. Meski tampak sederhana, proses ini justru menjadi bagian penting dari pembelajaran sosial dan emosional yang bermanfaat bagi anak dalam jangka panjang. Hambatan lain yang dihadapi berasal dari luar kelas, yaitu kurangnya pemahaman sebagian orang tua terhadap pentingnya kegiatan bermain peran sebagai bagian dari proses pembelajaran anak usia dini. Masih ada orang tua yang beranggapan bahwa bermain hanyalah kegiatan santai yang tidak memiliki nilai pendidikan, sehingga mereka kurang mendukung atau bahkan meremehkan model pembelajaran ini. Padahal, melalui bermain peran, anak tidak hanya bersenang-senang, tetapi juga belajar berkomunikasi, menyampaikan ide, bekerja sama, serta memahami peran sosial di sekitarnya. Ketika orang tua belum memahami hal ini, dukungan yang mereka berikan kepada anak dan guru pun menjadi terbatas. Oleh karena itu, edukasi kepada orang tua sangat diperlukan, misalnya melalui sosialisasi, dokumentasi kegiatan, atau diskusi informal, agar mereka lebih memahami bahwa bermain adalah cara belajar yang sesuai dengan dunia anak.Tantangan tambahan meliputi keterbatasan waktu dan perencanaan, mengingat model ini membutuhkan persiapan yang matang mulai dari tema, alat peraga, hingga pengondisian ruang. Di samping itu, kendala sarana dan prasarana seperti ruang kelas yang sempit, terbatasnya alat permainan, dan minimnya dana untuk pengadaan atau perawatan alat peraga juga turut memengaruhi kelancaran pelaksanaan kegiatan. Untuk mengatasi berbagai hambatan tersebut, guru menerapkan sejumlah strategi kreatif dan adaptif. Salah satunya adalah dengan mengoptimalkan alat yang tersedia melalui kreativitas, misalnya dengan membuat alat peraga sendiri dari bahan daur ulang seperti kardus, kain bekas, atau botol plastik, yang bahkan melibatkan anak-anak dalam proses pembuatannya sehingga menambah semangat mereka. Guru juga menyesuaikan tema bermain peran dengan fasilitas yang ada. Ketika alat peraga tidak mencukupi untuk tema tertentu, kegiatan diarahkan ke tema lain yang lebih sederhana dan realistis. Selain itu, kelompok bermain dibagi secara bergiliran agar seluruh anak tetap mendapat kesempatan bermain meskipun ruang dan alat terbatas, sementara kelompok lain dapat melakukan aktivitas pendukung yang relevan seperti menggambar atau mendengarkan cerita. Hal ini sejalan dengan hasil penelitian Anggraini dkk, yang menjelaskan bahwa peran guru sebagai mediator mencakup pemilihan dan penyesuaian alat permainan edukatif berdasarkan tema pembelajaran serta kondisi sarana yang tersedia, sehingga proses pembelajaran tetap berjalan efektif meskipun fasilitas terbatas[26]. Kemudian kerja sama dengan orang tua juga menjadi solusi penting lainnya. Melalui komunikasi yang baik, guru dapat mengajak orang tua menyumbangkan alat peraga atau kostum bekas. Guru juga membangun suasana kelas yang fleksibel dan terbuka, dengan memberi ruang kepada anak-anak untuk berimprovisasi sesuai minat mereka. Evaluasi dan refleksi rutin dilakukan setelah setiap kegiatan untuk mengetahui apa yang sudah berhasil dan apa yang masih perlu ditingkatkan. Dengan cara-cara tersebut, guru berupaya memastikan bahwa kegiatan bermain peran tetap menjadi pengalaman belajar yang menyenangkan dan bermakna, meskipun dihadapkan pada berbagai keterbatasan. Pada pelaksanaan kegiatan sentra bermain peran di TK Aisyiyah 38 Driyorejo, guru dan anak-anak terkadang menghadapi berbagai dinamika yang mencerminkan kenyataan di lapangan. Meskipun metode ini terbukti menyenangkan dan bermanfaat bagi perkembangan sosial-emosional serta kemampuan berkomunikasi anak, pelaksanaannya tidak terlepas dari tantangan. Tidak semua anak langsung nyaman bermain peran. Ada yang cepat berani dan aktif, tapi ada juga yang cenderung diam, hanya mau mengamati. Cara guru dalam membantu anak yang pendiam itu pelan-pelan tertarik dan merasa aman untuk ikut terlibat, tanpa memaksa. Biasanya saya ikut bermain dan menarik anak itu secara perlahan, misalnya dengan memberinya peran kecil terlebih dahulu. Terkadang alat peraga yang ada di kelas tidak lengkap atau belum bisa menggambarkan tema secara maksimal. Misalnya saat tema rumah sakit, jumlah timbangan atau uang mainan terbatas, jadi anak-anak harus bergantian. Tapi di sisi lain, ini juga bisa kami ubah jadi momen belajar berbagi dan menunggu giliran. Saat bermain peran, anak-anak biasanya sangat bersemangat, dan kadang itu membuat suasana jadi cukup ramai. Ada yang ingin peran yang sama, atau berebut alat. Terkadang ada juga anak yang berebut mainan atau peran, maka guru membantu melerainya dengan memberikan kesempatan secara bergantian. Misalnya ada anak yang ingin menjasi dokter, tetapi sudah ada yang mendapat bagian peran menjadi dokter, maka guru mengajak anak untuk bergantian setelah temannya. Agar semuanya juga merasakan mendapat peran tersebut. Di sini perlunya guru hadir bukan hanya sebagai fasilitator, tapi juga penengah. Guru membantu anak-anak menyelesaikan konflik kecil itu dengan dialog sederhana, agar mereka juga belajar menyelesaikan masalah secara positif. Tantangan lain yang muncul berasal dari luar kelas, yaitu sebagian orang tua yang masih menganggap bahwa bermain itu bukan belajar. Nah, di sini peran guru adalah membangun komunikasi yang baik dengan orang tua, menjelaskan bahwa lewat bermain, anak-anak justru sedang belajar banyak hal, mulai dari bahasa, sosial, hingga kemampuan berpikir. Maka dari itu di perlukannya pertemuan antara orang tua dan guru tiap beberapa bulan sekali agar guru dapat menyampaikan perkembangan anak yang terjadi di sekolah. Selain itu, keterbatasan waktu dan perlengkapan yang menjadi kendala. Karena model ini butuh persiapan yang matang, dari alat peraga sampai pengkondisian kelas, kadang kalau waktunya mepet atau jumlah guru terbatas, pelaksanaannya jadi kurang maksimal. Akan tetapi jika direncanakan dengan baik, semua bisa berjalan dengan lancar. Menghadapi kondisi ini, guru berinisiatif untuk mencari solusi yang kreatif dan efisien. Salah satu langkah yang dilakukan adalah memanfaatkan barang bekas untuk membuat alat peraga sendiri, seperti menggunakan kardus, botol plastik, dan kain perca. Menariknya, anak-anak pun dilibatkan dalam proses pembuatan alat peraga ini, yang secara tidak langsung menumbuhkan rasa memiliki dan semangat mereka untuk bermain. Ketika alat yang tersedia tidak memadai untuk tema tertentu, guru menyesuaikan tema kegiatan agar tetap dapat dilaksanakan dengan optimal. Pembagian kelompok bermain juga dilakukan secara bergilir agar seluruh anak mendapat kesempatan yang adil. Sementara sebagian anak bermain peran, kelompok lain dapat mengikuti kegiatan alternatif seperti menggambar atau mendengarkan cerita. Dukungan orang tua pun mulai dibangun melalui komunikasi yang intensif. Guru mengajak mereka untuk menyumbangkan alat peraga atau kostum yang tidak terpakai di rumah. Di sisi lain, suasana kelas juga dibuat fleksibel agar anak-anak dapat berimprovisasi sesuai minat masing-masing, tanpa merasa tertekan. Setelah kegiatan berlangsung, guru selalu melakukan evaluasi dan refleksi untuk menilai keberhasilan dan memperbaiki kekurangan pada pelaksanaan sebelumnya. Dengan pendekatan tersebut, kegiatan sentra bermain peran tetap dapat berjalan lancar, menyenangkan, dan bermakna bagi anak-anak, meskipun menghadapi berbagai keterbatasan.

Simpulan

Hasil observasi dan wawancara dengan guru TK Aisyiyah 38 Driyorejo menunjukkan bahwa penerapan model pembelajaran sentra bermain peran memberikan dampak positif terhadap perkembangan bahasa anak usia dini. Melalui kegiatan bermain yang dikemas sesuai dengan dunia anak, mereka terdorong untuk aktif berbicara, menambah kosakata, menyusun kalimat, serta menjalin komunikasi yang lebih baik dengan teman dan guru. Anak menjadi lebih percaya diri dalam mengekspresikan pendapat, memahami isi percakapan, dan menunjukkan perkembangan bahasa secara bertahap namun nyata. Keberhasilan ini tidak lepas dari sejumlah faktor pendukung, antara lain lingkungan belajar yang tertata sesuai tema, peran guru yang aktif membimbing dan memberi contoh, keterlibatan orang tua dalam mendukung proses belajar anak, serta dukungan dari pihak sekolah dan kurikulum. Guru juga merancang kegiatan dengan perencanaan yang matang dan memahami perbedaan karakter serta gaya belajar setiap anak. Namun demikian, dalam pelaksanaannya tetap ditemukan beberapa kendala, seperti perbedaan tingkat keberanian anak dalam berpartisipasi, keterbatasan alat permainan, ruang kelas yang sempit, serta masih adanya anggapan dari sebagian orang tua bahwa bermain bukan bagian dari kegiatan belajar. Untuk mengatasi tersebut, guru melakukan berbagai upaya seperti membuat alat peraga sederhana secara mandiri, membagi kelompok bermain secara bergiliran, serta menjalin komunikasi yang baik dengan orang tua. Dengan cara tersebut, kegiatan sentra bermain peran tetap dapat berjalan efektif, menyenangkan, dan bermakna dalam mendukung perkembangan bahasa anak.

Ucapan Terima kasih

Penulis mengucapkan syukur kepada Allah SWT atas rahmat dan kemudahan yang diberikan selama proses penelitian ini. Tanpa pertolongan-Nya, tentu tugas ini tidak dapat terselesaikan dengan baik. Terima kasih yang sebesar-besarnya disampaikan kepada dosen pembimbing atas bimbingan, saran, dan dukungannya yang sangat berarti. Ucapan terima kasih juga penulis tujukan kepada keluarga tercinta yang senantiasa memberikan doa, semangat, dan motivasi di setiap langkah. Penulis juga berterima kasih kepada pihak TK Aisyiyah 38 Driyorejo atas izin dan kerja sama selama proses penelitian, serta kepada rekan-rekan dan sahabat yang telah memberikan bantuan dan dukungan dalam berbagai bentuk khusunya teruntuk teman-teman penulis di antaranya, Hafida, A’yun, Fitri, Shinta, Wulandari dan Jihan terimakasih atas bantuan dan dukungannya yang sangat berarti untuk penulis sehingga artikel ini dapat terselesaikan dengan baik. Semoga segala kebaikan yang diberikan menjadi amal yang diberkahi dan mendapatkan balasan terbaik dari Allah SWT.

References

[1] L. Mardiani and R. Yetti, “Penerapan Metode Bermain Peran Dalam Mengembangkan Bahasa Anak Usia Dini,” Jurnal Pendidikan Tambusai, vol. 4, no. 1, p. 502, 2020.

[2] U. Hasanah, “Pembelajaran Bahasa Anak Di PAUD Al Amir Pringgodadi Bantur Malang,” Jurnal Lingkup Anak Usia Dini, vol. 1, no. 2, pp. 60–67, 2020.

[3] M. Marwah, “Stimulasi Kemampuan Bercerita Anak Usia Dini Melalui Media Boneka Tangan,” Murhum: Jurnal Pendidikan Anak Usia Dini, vol. 3, no. 1, pp. 34–42, 2022, doi: 10.37985/murhum.v3i1.76.

[4] I. Lestari, “Perkembangan Bahasa Pada Anak Usia 3–4 Tahun,” Jurnal Kualita Pendidikan, vol. 2, no. 2, pp. 113–118, 2021, doi: 10.51651/jkp.v2i2.46.

[5] A. Wicaksana, “Kemampuan Bahasa Anak Usia Dini,” Medium, 2016.

[6] M. A. Musi, F. Dzulfadhilah, and A. Lismayani, “Implementasi Model Pembelajaran Sentra Bermain Peran Pada Kemampuan Berbicara Anak Usia 5–6 Tahun Di TK IT Al Biruni Mandiri Jipang Makassar,” Jurnal Multidisiplin Inovasi, vol. 8, no. 2, pp. 2246–6110, 2024.

[7] D. Khairiah and D. I. Kurinci, “Model Pembelajaran Sentra Pendidikan Anak Usia Dini Di KB Al Falah Kota Gunungsitoli,” Buhuts Al-Athfal: Jurnal Pendidikan Dan Anak Usia Dini, vol. 2, no. 1, pp. 36–48, 2022, doi: 10.24952/alathfal.v2i1.5289.

[8] L. Farikha, M. B. Karim, Y. W. Fajar, and R. N. Puspitasari, “Pengaruh Model Pembelajaran Sentra Peran Terhadap Kemampuan Berbicara Anak Usia 5–6 Tahun Di TK Islam Al-Khalifa Solerejo Mojowarno Jombang,” Jurnal PG-PAUD Trunojoyo: Jurnal Pendidikan Dan Pembelajaran Anak Usia Dini, vol. 5, no. 1, pp. 45–55, 2018, doi: 10.21107/pgpaudtrunojoyo.v5i1.3849.

[9] I. F. Novia and Nurhafizah, “Penggunaan Metode Bermain Peran Dalam Pengembangan Kemampuan Sosial Anak Usia Dini,” Jurnal Pendidikan Tambusai, vol. 4, no. 2, pp. 1080–1090, 2020.

[10] E. Febriana and H. Aziz, “Implementasi Model Pembelajaran Sentra Bermain Peran Untuk Menanamkan Nilai Moral Anak,” Golden Age: Jurnal Ilmiah Tumbuh Kembang Anak Usia Dini, vol. 3, no. 2, pp. 115–130, 2019, doi: 10.14421/jga.2018.32-05.

[11] N. Anisyah, “Hakikat Bermain Peran Di Sentra Main Peran Pada Anak Usia Dini,” Zuriah: Jurnal Pendidikan Anak Usia Dini, vol. 1, no. 1, p. 11, 2020, doi: 10.29240/zuriah.v1i1.1472.

[12] A. Ardiansyah, “Mengembangkan Kemampuan Bahasa Anak Melalui Kegiatan Bermain Peran Di PAUD Azzahra,” Azzahra: Jurnal Pendidikan Anak Usia Dini, vol. 2, no. 2, pp. 129–140, 2021.

[13] D. Wahyu, P. Bintang, A. D. Pertiwi, and Universitas Mulawarman, “Analisis Penggunaan Teknologi Pada Proses Pembelajaran Di PAUD,” Jurnal Aulad: Pendidikan Anak Usia Dini, vol. 7, no. 3, pp. 873–884, 2024, doi: 10.31004/aulad.v7i3.810.

[14] W. Y. W., “Penelitian Naratif,” 2018.

[15] A. Amelya, Y. Fitriani, and P. Nuroniah, “Upaya Peningkatan Kepercayaan Diri Anak Usia 5–6 Tahun Melalui Metode Bermain Peran,” Murhum: Jurnal Pendidikan Anak Usia Dini, vol. 5, no. 1, pp. 459–470, 2024, doi: 10.37985/murhum.v5i1.577.

[16] J. W. Creswell, Research Design: Pendekatan Kualitatif, Kuantitatif, Dan Mixed, 3rd ed. Yogyakarta: Pustaka Pelajar, 2014.

[17] M. B. Miles, M. Huberman, and J. Saldana, Qualitative Data Analysis: A Methods Sourcebook, 3rd ed. Thousand Oaks, CA: Sage Publications, 2014.

[18] S. Susilahati, “Pendampingan Penerapan Scaffolding Bermain Melalui Sentra Main Peran Makro,” AN-NAS: Jurnal Pengabdian Masyarakat, pp. 31–44, 2023.

[19] W. I. Ardi and R. Devianti, “Peran Guru Terhadap Aktivitas Bermain Anak Usia Dini,” Mitra Ash-Shibyan: Jurnal Pendidikan Dan Konseling, vol. 4, no. 2, pp. 125–134, 2021, doi: 10.46963/mash.v4i02.344.

[20] A. U. Dini, “The Role Of The Teacher In Developing Language Vocabulary Early,” vol. 7, no. 3, 2024.

[21] S. Sriami, S. E. Haryono, and S. Muntommimah, “Implementasi Metode Bermain Peran Untuk Meningkatkan Kemampuan Bahasa Ekspresif Pada Anak Taman Kanak-Kanak,” Melior: Jurnal Riset Pendidikan Dan Pembelajaran Indonesia, vol. 1, no. 2, pp. 38–44, 2021, doi: 10.56393/melior.v1i2.555.

[22] Y. Fika, S. M. Meilanie, and L. Fridani, “Peningkatan Kemampuan Bicara Anak Melalui Bermain Peran Berbasis Budaya,” Jurnal Obsesi: Jurnal Pendidikan Anak Usia Dini, vol. 4, no. 1, p. 50, 2019, doi: 10.31004/obsesi.v4i1.229.

[23] Universitas Muhammadiyah Kendari, “Strategi Guru Untuk Meningkatkan Perkembangan Bahasa Anak Usia Dini Melalui Aktivitas Bermain,” vol. 3, no. 10, pp. 244–251, 2024.

[24] S. Yuniati and P. S. Rohmadheny, “Bermain Peran: Sebuah Metode Untuk Meningkatkan Kemampuan Bahasa Ekspresif Anak,” Jurnal Obsesi: Jurnal Pendidikan Anak Usia Dini, vol. 5, no. 1, p. 60, 2020, doi: 10.31004/obsesi.v5i1.509.

[25] D. A. Nugraha, “Implementasi Model Pembelajaran Sentra Bermain Peran Dalam Pembentukan Sosial Emosional Anak Pada Kelompok B Di RA Tiara,” vol. 2, no. 1, pp. 1–7, 2019.

[26] Y. Anggraini, D. Suryadi, and I. Indrawati, “Peran Guru Dalam Pemanfaatan Alat Permainan Edukatif Di TK Gugus Lavender Kecamatan Singaran Pati Kota Bengkulu,” Jurnal Pena PAUD, vol. 2, no. 1, p. 50, 2021, doi: 10.33369/penapaud.v2i1.14801.